Упр.6.144 ГДЗ Дорофеев Суворова 7 класс (Алгебра)
Решение #1

Рассмотрим вариант решения задания из учебника Дорофеев, Суворова, Бунимович 7 класс, Просвещение:
Упростите выражение:
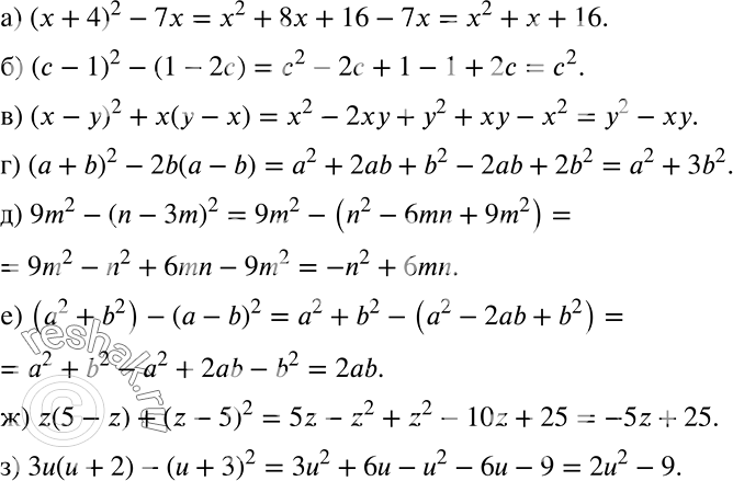
а) (х + 4)2 - 7х;
б) (с - 1)2 - (1 - 2с);
в) (x - у)2 + х(у - х);
г) (a + b)2 - 2b(a - b);
д) 9m2 - (n - 3m)2;
е) (a2 + b2) - (а - b)2;
ж) z(5 - z) + (z - 5)2;
з) 3u(u + 2) - (u + 3)2.
Популярные решебники 7 класс Все решебники
*К сожалению, временные проблемы с публикацией комментариев с мобильных устройств.