Упр.6.146 ГДЗ Дорофеев Суворова 7 класс (Алгебра)
Решение #1

Рассмотрим вариант решения задания из учебника Дорофеев, Суворова, Бунимович 7 класс, Просвещение:
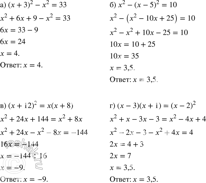
Решите уравнение:
а) (х + З)2 - х2 = 33;
б) х2 - (х - 5)2 = 10;
в) (х + 12)2 = х(х + 8);
г) (х - 3)(х + 1) = (х - 2)2.
Популярные решебники 7 класс Все решебники
*размещая тексты в комментариях ниже, вы автоматически соглашаетесь с пользовательским соглашением