Упр.6.145 ГДЗ Дорофеев Суворова 7 класс (Алгебра)
Решение #1

Рассмотрим вариант решения задания из учебника Дорофеев, Суворова, Бунимович 7 класс, Просвещение:
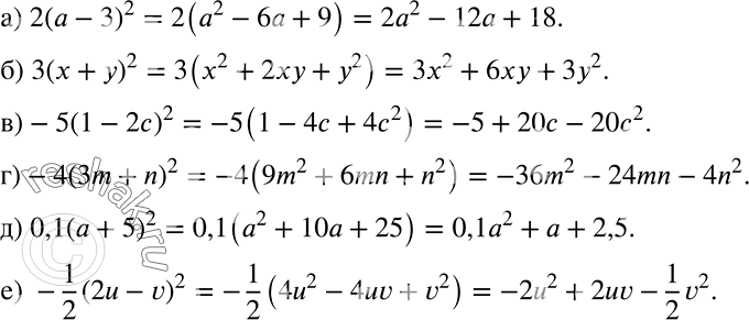
Преобразуйте в многочлен:
а) 2(а - 3)2;
б) 3(х + у)2;
в) -5(1 - 2с)2;
г) -4(3m + n)2;
д) 0,1(а + 5)2;
е) -1/2*(2u - v)2.
Популярные решебники 7 класс Все решебники
*размещая тексты в комментариях ниже, вы автоматически соглашаетесь с пользовательским соглашением