Упр.6.142 ГДЗ Дорофеев Суворова 7 класс (Алгебра)
Решение #1

Рассмотрим вариант решения задания из учебника Дорофеев, Суворова, Бунимович 7 класс, Просвещение:
Рассуждаем (733-734)
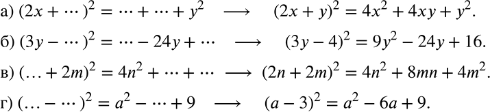
733 Заполните пропуски:
а) (2x + ...)2 = ... + ... + у2;
б) (3у - ...)2 = ... - 24y + ...;
в) (... + 2m)2 = 4n2 + ... + ...;
г) (... - ...)2 = а2 - ... + 9.
Популярные решебники 7 класс Все решебники
*размещая тексты в комментариях ниже, вы автоматически соглашаетесь с пользовательским соглашением