Упр.6.138 ГДЗ Дорофеев Суворова 7 класс (Алгебра)
Решение #1

Рассмотрим вариант решения задания из учебника Дорофеев, Суворова, Бунимович 7 класс, Просвещение:
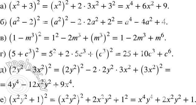
Преобразуйте в многочлен:
а) (х2 + З)2;
б) (а2 - 2)2;
в) (1 - m3)2;
г) (5 + с3)2;
д) (2у2 - 3х2)2;
е) (x2y2 + 1)2.
Популярные решебники 7 класс Все решебники
*размещая тексты в комментариях ниже, вы автоматически соглашаетесь с пользовательским соглашением