Упр.6.135 ГДЗ Дорофеев Суворова 7 класс (Алгебра)
Решение #1

Рассмотрим вариант решения задания из учебника Дорофеев, Суворова, Бунимович 7 класс, Просвещение:
Действуем по формуле (726—729)
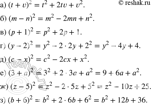
726 Запишите выражение в виде трёхчлена, пользуясь нужной формулой:
а) (t + v)2;
б) (m - n)2;
в) (р + 1)2;
г) (у - 2)2;
д) (с - х)2;
е) (3 + а)2;
ж) (z - 5)2;
з) (b + 6)2.
Популярные решебники 7 класс Все решебники
*К сожалению, временные проблемы с публикацией комментариев с мобильных устройств.