Упр.6.110 ГДЗ Дорофеев Суворова 7 класс (Алгебра)
Решение #1

Рассмотрим вариант решения задания из учебника Дорофеев, Суворова, Бунимович 7 класс, Просвещение:
Разбираем способ решения Найдите значение выражения при заданном значении переменной:
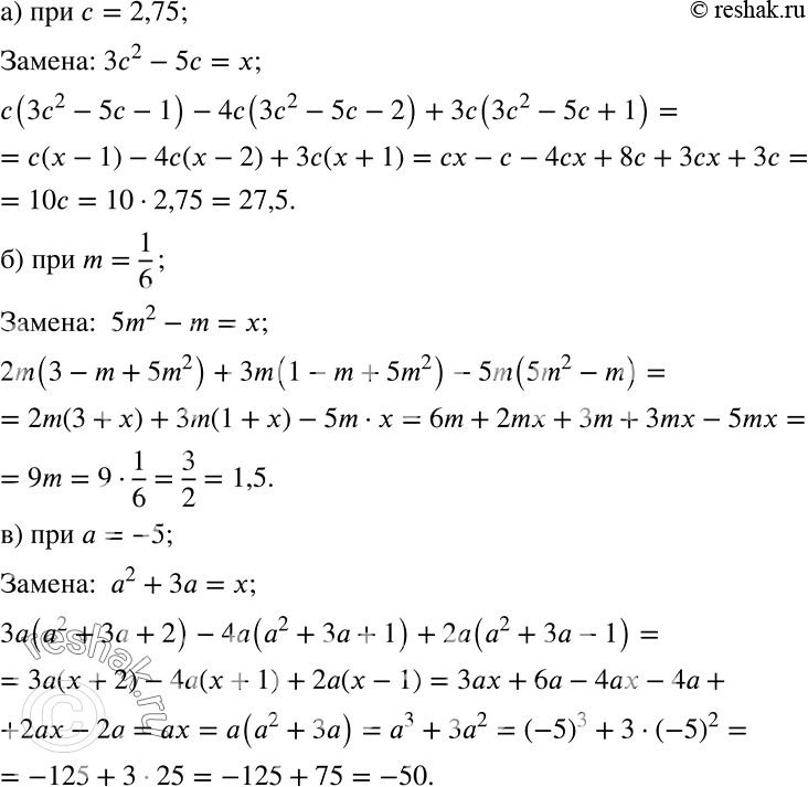
а) с(3с2 - 5с - 1) - 4с(3с2 - 5с - 2) + 3с(3с2 - 5с + 1); с = 2,75;
б) 2m(3 — m + 5m2) + 3m(1 — m + 5m2) - 5m(5m2 - m); m = 1/6;
в) 3а(а2 + 3а + 2) - 4а(а2 + За + 1) + 2а(а2 + За - 1); а = -5.
Образец. Преобразования можно сделать проще, если ввести замену. Например, в пункте а обозначьте 3с2 - 5с буквой х и запишите выражение в виде
с(х - 1) - 4с(х - 2) + 3с(х + 1) = ...
Закончите преобразование.
Популярные решебники 7 класс Все решебники
*размещая тексты в комментариях ниже, вы автоматически соглашаетесь с пользовательским соглашением