Упр.6.113 ГДЗ Дорофеев Суворова 7 класс (Алгебра)
Решение #1

Рассмотрим вариант решения задания из учебника Дорофеев, Суворова, Бунимович 7 класс, Просвещение:
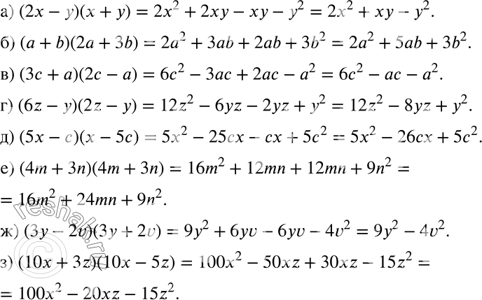
а) (2х - и)(х + у);
б) (а + b)(2а + 3b);
в) (3с + а)(2с - а);
г) (6z - у)(2z - у);
д) (5x - с)(х - 5с);
е) (4m + 3n)(4m + 3n);
ж) (3у - 2v)(3у + 2v);
з) (10x + 3z)(10х - 5z).
Популярные решебники 7 класс Все решебники
*К сожалению, временные проблемы с публикацией комментариев с мобильных устройств.