🔥ГДЗ под запретом?

Упр.5.87 ГДЗ Виленкин Жохов 6 класс Часть 2, Просвещение (Математика)

Решение #1 (Учебник 2023)

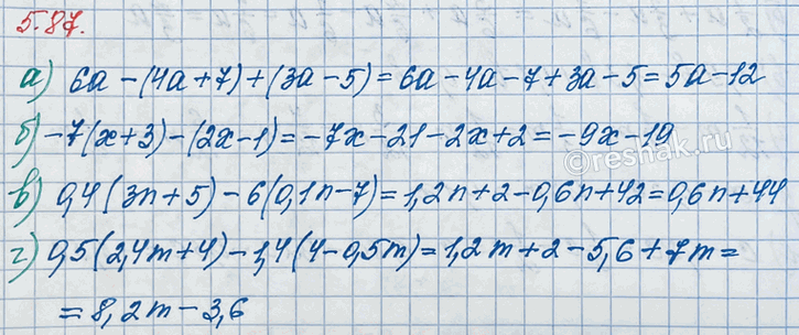
Изображение Раскройте скобки и упростите выражение:а) 6а - (4а + 7) + (3а - 5);   в) 0,4(3n + 5) - 6(0,1n - 7);б) -7(x + 3) - (2х - 1);       г) 0,5(2,4m + 4) - 1,4(4 -...

Решение #2 (Учебник 2023)

Изображение Раскройте скобки и упростите выражение:а) 6а - (4а + 7) + (3а - 5);   в) 0,4(3n + 5) - 6(0,1n - 7);б) -7(x + 3) - (2х - 1);       г) 0,5(2,4m + 4) - 1,4(4 -...
Дополнительное изображение

Решение #3 (Учебник 2023)

Изображение Раскройте скобки и упростите выражение:а) 6а - (4а + 7) + (3а - 5);   в) 0,4(3n + 5) - 6(0,1n - 7);б) -7(x + 3) - (2х - 1);       г) 0,5(2,4m + 4) - 1,4(4 -...

Рассмотрим вариант решения задания из учебника Виленкин, Жохов, Чесноков 6 класс, Просвещение:
Раскройте скобки и упростите выражение:
а) 6а - (4а + 7) + (3а - 5); в) 0,4(3n + 5) - 6(0,1n - 7);
б) -7(x + 3) - (2х - 1); г) 0,5(2,4m + 4) - 1,4(4 - 0,5m).

Сначала раскроем скобки. Для этого необходимо множитель, стоящий за скобками, умножить на каждое слагаемое, стоящее в скобках, затем приводим подобные слагаемые.
Для того, чтобы сложить (привести) подобные слагаемые, необходимо сложить их коэффициенты и полученный результат умножить на общую буквенную часть.
При выполнении вычислений опираемся на следующие правила:
- для того, чтобы перемножить два числа с разными знаками, необходимо умножить их модули и перед полученным произведением поставить знак «-».
- для того, чтобы перемножить два отрицательных числа, необходимо перемножить их модули.
- для того, чтобы сложить два числа с разными знаками, необходимо найти модули слагаемых и из большего модуля вычесть меньший модуль; перед полученным числом поставить знак слагаемого с большим модулем.
- для того, чтобы сложить два отрицательных числа, необходимо найти и сложить модули слагаемых; перед полученным числом поставить знак «-».
- для того, чтобы из данного числа вычесть другое, необходимо к уменьшаемому прибавить число, противоположное вычитаемому.
а) 6a-(4a+7)+(3a-5)=6a-4a-7+3a-5=(6a-4a+3a)-(7+5)=(2a+3a)-12=5a-12
б) -7(x+3)-(2x-1)=-7x-21-2x+1=-(7x+2x)-(21-1)=-9x-20
в) 0,4(3n+5)-6(0,1n-7)=1,2n+2-0,6n+42=(1,2n-0,6n)+(2+42)=0,6n+44
г) 0,5(2,4m+4)-1,4(4-0,5m)=1,2m+2-5,6+0,7m=(1,2m+0,7m)-(5,6-2)=1,9m-3,6

*Цитирирование задания со ссылкой на учебник производится исключительно в учебных целях для лучшего понимания разбора решения задания.
*К сожалению, временные проблемы с публикацией комментариев с мобильных устройств.