🔥ГДЗ под запретом?

Упр.5.85 ГДЗ Виленкин Жохов 6 класс Часть 2, Просвещение (Математика)

Решение #1 (Учебник 2023)

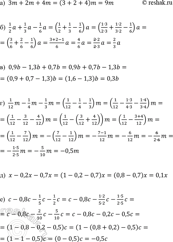
Изображение Приведите подобные слагаемые: а) 3m + 2m + 4m;            в) 0,9b - 1,3b + 0,7b;       д) x - 0,2x - 0,7x;б) 1/2 a + 1/3 a - 1/6 a;   г) 1/12 m - 1/4 m - 1/3 m;   е)...

Решение #2 (Учебник 2023)

Изображение Приведите подобные слагаемые: а) 3m + 2m + 4m;            в) 0,9b - 1,3b + 0,7b;       д) x - 0,2x - 0,7x;б) 1/2 a + 1/3 a - 1/6 a;   г) 1/12 m - 1/4 m - 1/3 m;   е)...
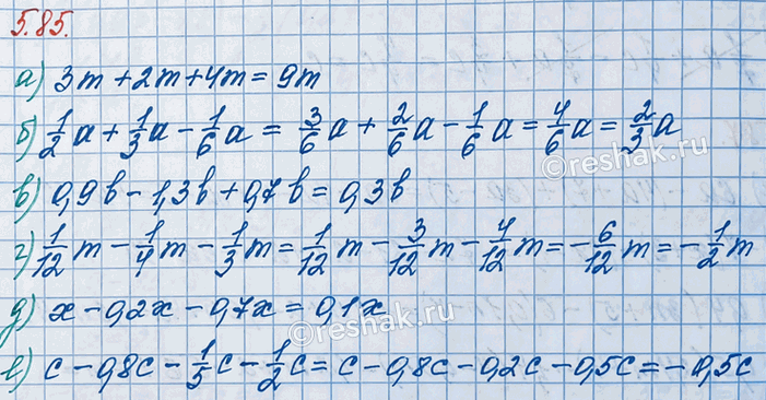
Дополнительное изображение

Решение #3 (Учебник 2023)

Изображение Приведите подобные слагаемые: а) 3m + 2m + 4m;            в) 0,9b - 1,3b + 0,7b;       д) x - 0,2x - 0,7x;б) 1/2 a + 1/3 a - 1/6 a;   г) 1/12 m - 1/4 m - 1/3 m;   е)...

Рассмотрим вариант решения задания из учебника Виленкин, Жохов, Чесноков 6 класс, Просвещение:
Приведите подобные слагаемые:
а) 3m + 2m + 4m; в) 0,9b - 1,3b + 0,7b; д) x - 0,2x - 0,7x;
б) 1/2 a + 1/3 a - 1/6 a; г) 1/12 m - 1/4 m - 1/3 m; е) c - 0,8c - 1/5 c - 1/2 c.
Подобные слагаемые – это слагаемые, которые имеют одинаковую буквенную часть, то есть подобные слагаемые могут отличаться только коэффициентами.
Для того, чтобы сложить (или привести) подобные слагаемые, необходимо сложить их коэффициенты и полученный результат умножить на общую буквенную часть.
При выполнении вычислений опираемся на следующие правила:
- для того, чтобы сложить два числа с разными знаками, необходимо найти модули слагаемых и из большего модуля вычесть меньший модуль; перед полученным числом поставить знак слагаемого с большим модулем.
- для того, чтобы сложить два отрицательных числа, необходимо найти и сложить модули слагаемых; перед полученным числом поставить знак «-».
- для того, чтобы из данного числа вычесть другое, необходимо к уменьшаемому прибавить число, противоположное вычитаемому.
- для того, чтобы найти сумму (разность) двух дробей с одинаковыми знаменателями, необходимо сложить (вычесть) их числители, а знаменатель оставить прежним.
- для того, чтобы сложить (вычесть) две дроби с разными знаменателями, необходимо привести данные дроби к общему знаменателю и применить правило сложения (вычитания) дробей с одинаковыми знаменателями.
а) 3m+2m+4m=(3+2+4)m=9m
б) 1/2 a+1/3 a-1/6 a=(1/2+1/3-1/6)a=((1•3)/(2•3)+(1•2)/(3•2)-1/6)a=(3/6+2/6-1/6)a=(3+2-1)/6 a=4/6 a=(2•2)/(2•3) a=2/3 a
в) 0,9b-1,3b+0,7b=0,9b+0,7b-1,3b=(0,9+0,7-1,3)b=(1,6-1,3)b=0,3b
г) 1/12 m-1/4 m-1/3 m=(1/12-1/4-1/3)m=(1/12-(1•3)/(4•3)-(1•4)/(3•4))m=(1/12-3/12-4/12)m=(1/12-(3/12+4/12))m=(1/12-(3+4)/12)m=(1/12-7/12)m=-(7/12-1/12)m=-(7-1)/12 m=-6/12 m=-6/(2•6) m=-(1•5)/(2•5) m=-5/10 m=-0,5m
д) x-0,2x-0,7x=(1-0,2-0,7)x=(0,8-0,7)x=0,1x
е) c-0,8c-1/5 c-1/2 c=c-0,8c-(1•2)/(5•2) c-(1•5)/(2•5) c=c-0,8c-2/10 c-5/10 c=c-0,8c-0,2c-0,5c=(1-0,8-0,2-0,5)c=(1-(0,8+0,2)-0,5)c=(1-1-0,5)c=(0-0,5)c=-0,5c

*Цитирирование задания со ссылкой на учебник производится исключительно в учебных целях для лучшего понимания разбора решения задания.
*К сожалению, временные проблемы с публикацией комментариев с мобильных устройств.