🔥ГДЗ под запретом?

Упр.5.83 ГДЗ Виленкин Жохов 6 класс Часть 2, Просвещение (Математика)

Решение #1 (Учебник 2023)

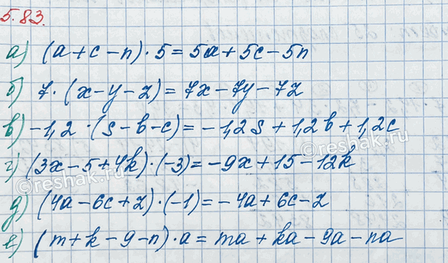
Изображение Раскройте скобки:а) (а + с - n) · 5;    в) -1,2 · (s - b - с);     д) (4а - 6с + z) · (-1);б) 7 · (х - у - г);    г) (3х - 5 + 4k) · (—3);   е) (m + k - 9 - n) ·...

Решение #2 (Учебник 2023)

Изображение Раскройте скобки:а) (а + с - n) · 5;    в) -1,2 · (s - b - с);     д) (4а - 6с + z) · (-1);б) 7 · (х - у - г);    г) (3х - 5 + 4k) · (—3);   е) (m + k - 9 - n) ·...

Рассмотрим вариант решения задания из учебника Виленкин, Жохов, Чесноков 6 класс, Просвещение:
Раскройте скобки:
а) (а + с - n) · 5; в) -1,2 · (s - b - с); д) (4а - 6с + z) · (-1);
б) 7 · (х - у - г); г) (3х - 5 + 4k) · (—3); е) (m + k - 9 - n) · а.

*Цитирирование задания со ссылкой на учебник производится исключительно в учебных целях для лучшего понимания разбора решения задания.
*К сожалению, временные проблемы с публикацией комментариев с мобильных устройств.