🔥ГДЗ под запретом?

Упр.5.86 ГДЗ Виленкин Жохов 6 класс Часть 2, Просвещение (Математика)

Решение #1 (Учебник 2023)

Изображение Упростите выражение:а) 0,4n - 0,7m - 0,9n + 0,7m;       г) 7/9 x - 3/4 - 11/18 x - 1/4;б) 6c - 8c - 4c + 21 - 13;          д) 0,3m - 2/7 - 3m + 6/7;в) 3/4 a + 5/6...

Решение #2 (Учебник 2023)

Изображение Упростите выражение:а) 0,4n - 0,7m - 0,9n + 0,7m;       г) 7/9 x - 3/4 - 11/18 x - 1/4;б) 6c - 8c - 4c + 21 - 13;          д) 0,3m - 2/7 - 3m + 6/7;в) 3/4 a + 5/6...
Дополнительное изображение

Решение #3 (Учебник 2023)

Изображение Упростите выражение:а) 0,4n - 0,7m - 0,9n + 0,7m;       г) 7/9 x - 3/4 - 11/18 x - 1/4;б) 6c - 8c - 4c + 21 - 13;          д) 0,3m - 2/7 - 3m + 6/7;в) 3/4 a + 5/6...

Рассмотрим вариант решения задания из учебника Виленкин, Жохов, Чесноков 6 класс, Просвещение:
Упростите выражение:
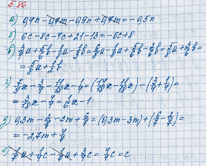
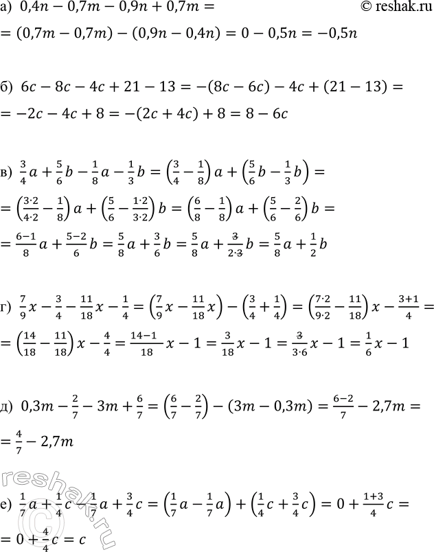
а) 0,4n - 0,7m - 0,9n + 0,7m; г) 7/9 x - 3/4 - 11/18 x - 1/4;
б) 6c - 8c - 4c + 21 - 13; д) 0,3m - 2/7 - 3m + 6/7;
в) 3/4 a + 5/6 b - 1/8 a - 1/3 b; е) 1/7 a + 1/4 c - 1/7 a + 3/4 c.

Подобные слагаемые – это слагаемые, которые имеют одинаковую буквенную часть, то есть подобные слагаемые могут отличаться только коэффициентами.
Для того, чтобы сложить (привести) подобные слагаемые, необходимо сложить их коэффициенты и полученный результат умножить на общую буквенную часть.
При выполнении вычислений опираемся на следующие правила:
- для того, чтобы сложить два числа с разными знаками, необходимо найти модули слагаемых и из большего модуля вычесть меньший модуль; перед полученным числом поставить знак слагаемого с большим модулем.
- для того, чтобы сложить два отрицательных числа, необходимо найти и сложить модули слагаемых; перед полученным числом поставить знак «-».
- для того, чтобы из данного числа вычесть другое, необходимо к уменьшаемому прибавить число, противоположное вычитаемому.
- для того, чтобы найти сумму (разность) двух дробей с одинаковыми знаменателями, необходимо сложить (вычесть) их числители, а знаменатель оставить прежним.
- для того, чтобы сложить (вычесть) две дроби с разными знаменателями, необходимо привести данные дроби к общему знаменателю и применить правило сложения (вычитания) дробей с одинаковыми знаменателями.
Также учитываем то, что дробь, у которой числитель и знаменатель одинаковые числа, равна единице.
а) 0,4n-0,7m-0,9n+0,7m=(0,7m-0,7m)-(0,9n-0,4n)=0-0,5n=-0,5n
б) 6c-8c-4c+21-13=-(8c-6c)-4c+(21-13)=-2c-4c+8=-(2c+4c)+8=8-6c
в) 3/4 a+5/6 b-1/8 a-1/3 b=(3/4-1/8)a+(5/6 b-1/3 b)=((3•2)/(4•2)-1/8)a+(5/6-(1•2)/(3•2))b=(6/8-1/8)a+(5/6-2/6)b=(6-1)/8 a+(5-2)/6 b=5/8 a+3/6 b=5/8 a+3/(2•3) b=5/8 a+1/2 b
г) 7/9 x-3/4-11/18 x-1/4=(7/9 x-11/18 x)-(3/4+1/4)=((7•2)/(9•2)-11/18)x-(3+1)/4=(14/18-11/18)x-4/4=(14-11)/18 x-1=3/18 x-1=3/(3•6) x-1=1/6 x-1
д) 0,3m-2/7-3m+6/7=(6/7-2/7)-(3m-0,3m)=(6-2)/7-2,7m=4/7-2,7m
е) 1/7 a+1/4 c-1/7 a+3/4 c=(1/7 a-1/7 a)+(1/4 c+3/4 c)=0+(1+3)/4 c=0+4/4 c=c

*Цитирирование задания со ссылкой на учебник производится исключительно в учебных целях для лучшего понимания разбора решения задания.
*К сожалению, временные проблемы с публикацией комментариев с мобильных устройств.