🔥ГДЗ под запретом?

Упр.5.44 ГДЗ Виленкин Жохов 6 класс Часть 2, Просвещение (Математика)

Решение #1 (Учебник 2023)

Изображение Вычислите значение разности:а) (7,8 - 4) - (7,8 + 9);   б) (5/7 - 2,4) - (-3,6 + 5/7).		Сначала в выражениях раскрываем скобки.Для того, чтобы раскрыть скобки,...

Решение #2 (Учебник 2023)

Изображение Вычислите значение разности:а) (7,8 - 4) - (7,8 + 9);   б) (5/7 - 2,4) - (-3,6 + 5/7).		Сначала в выражениях раскрываем скобки.Для того, чтобы раскрыть скобки,...

Решение #3 (Учебник 2023)

Изображение Вычислите значение разности:а) (7,8 - 4) - (7,8 + 9);   б) (5/7 - 2,4) - (-3,6 + 5/7).		Сначала в выражениях раскрываем скобки.Для того, чтобы раскрыть скобки,...

Решение #4 (Учебник 2021)

Изображение Вычислите значение разности:а) (7,8 - 4) - (7,8 + 9);   б) (5/7 - 2,4) - (-3,6 + 5/7).		Сначала в выражениях раскрываем скобки.Для того, чтобы раскрыть скобки,...

Рассмотрим вариант решения задания из учебника Виленкин, Жохов, Чесноков 6 класс, Просвещение:
Выполните действия:
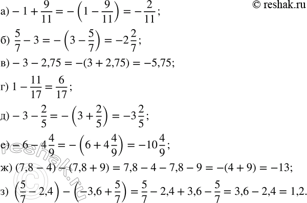
а) -1 + 9/11; д) -3 - 2/5;
б) 5/7 - 3; е) -6 - 4 4/9;
в) -3 - 2,75; ж) (7,8 - 4) - (7,8 + 9);
г) 1 - 11/17; з) (5/7 - 2,4) - (-3,6 + 5/7).

Вычислите значение разности:
а) (7,8 - 4) - (7,8 + 9); б) (5/7 - 2,4) - (-3,6 + 5/7).

Сначала в выражениях раскрываем скобки.
Для того, чтобы раскрыть скобки, перед которыми стоит знак «-», необходимо заменить этот знак на «-», поменяв знаки всех слагаемых в скобках на противоположные, а потом раскрыть скобки.
При выполнении вычислений опираемся на следующие правила:
- для того, чтобы сложить два числа с разными знаками, необходимо найти модули слагаемых и из большего модуля вычесть меньший модуль; перед полученным числом поставить знак слагаемого с большим модулем.
- сумма двух противоположных чисел равна нулю.
- для того, чтобы сложить два отрицательных числа, необходимо найти и сложить модули слагаемых; перед полученным числом поставить знак «-».
а) (7,8-4)-(7,8+9)=7,8-4-7,8-9=(7,8-7,8)-(4+9)=0-13=-13
б) (5/7-2,4)-(-3,6+5/7)=5/7-2,4+3,6-5/7=(5/7-5/7)+(3,6-2,4)=0+1,2=1,2

*Цитирирование задания со ссылкой на учебник производится исключительно в учебных целях для лучшего понимания разбора решения задания.
*К сожалению, временные проблемы с публикацией комментариев с мобильных устройств.