🔥ГДЗ под запретом?

Упр.5.25 ГДЗ Виленкин Жохов 6 класс Часть 2, Просвещение (Математика)

Решение #1 (Учебник 2023)

Изображение Решите уравнение:1) (13,4 - у) · 4,3 - 20,05 = 78,05 + 6,7у;   2) (16,2 - x) · 3,2 - 50,08 = -8,12 - 5,1x.Уравнение – это равенство, содержащее букву, значение...

Решение #2 (Учебник 2023)

Изображение Решите уравнение:1) (13,4 - у) · 4,3 - 20,05 = 78,05 + 6,7у;   2) (16,2 - x) · 3,2 - 50,08 = -8,12 - 5,1x.Уравнение – это равенство, содержащее букву, значение...
Дополнительное изображение

Решение #3 (Учебник 2023)

Изображение Решите уравнение:1) (13,4 - у) · 4,3 - 20,05 = 78,05 + 6,7у;   2) (16,2 - x) · 3,2 - 50,08 = -8,12 - 5,1x.Уравнение – это равенство, содержащее букву, значение...

Рассмотрим вариант решения задания из учебника Виленкин, Жохов, Чесноков 6 класс, Просвещение:
Решите уравнение:
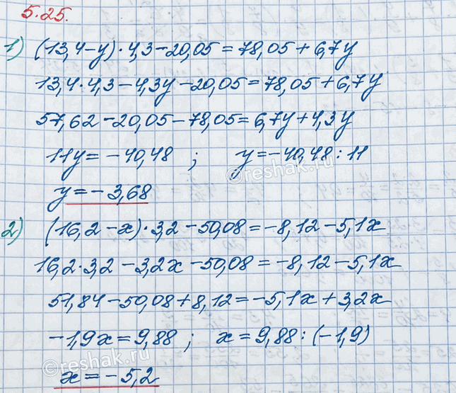
1) (13,4 - у) · 4,3 - 20,05 = 78,05 + 6,7у; 2) (16,2 - x) · 3,2 - 50,08 = -8,12 - 5,1x.
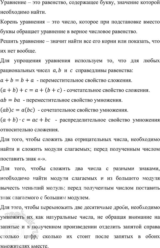
Уравнение – это равенство, содержащее букву, значение которой необходимо найти.
Корень уравнения – это число, которое при подстановке вместо буквы обращает уравнение в верное числовое равенство.
Решить уравнение – значит найти все его корни или показать, что их нет вообще.
Для упрощения уравнения используем то, что для любых рациональных чисел a,b и c справедливы равенства:
a+b=b+a - переместительное свойство сложения.
(a+b)+c=a+(b+c) - сочетательное свойство сложения.
ab=ba - переместительное свойство умножения.
(ab)c=a(bc) - сочетательное свойство умножения.
(a+b)•c=ac+bc - распределительное свойство умножения относительно сложения.
Для того, чтобы сложить два отрицательных числа, необходимо найти и сложить модули слагаемых; перед полученным числом поставить знак «-».
Для того, чтобы сложить два числа с разными знаками, необходимо найти модули слагаемых и из большего модуля вычесть меньший модуль; перед полученным числом поставить знак слагаемого с большим модулем.
Для того, чтобы перемножить две десятичные дроби, необходимо умножить их как натуральные числа, не обращая внимание на запятые и в полученном произведении отделить запятой справа столько цифр, сколько их стоит после запятых в обоих множителях вместе.
Для того, чтобы разделить десятичную дробь на десятичную, необходимо перенести в делимом и делителе запятые вправо на столько цифр, сколько их содержится после запятой в делителе; выполнить деление на натуральное число, не обращая внимание на запятую; поставить в частном запятую, когда кончится деление целой части.
1) (13,4-y)•4,3-20,05=78,05+6,7y
57,62-4,3y-20,05=78,05+6,7y
6,7y+4,3y=57,62-20,05-78,05
11y=-(78,05+20,05-57,62)
11y=-(98,1-57,62)
11y=-40,48
y=-40,48:11
y=-3,68
2) (16,2-x)•3,2-50,08=-8,12-5,1x
51,84-3,2x-50,08=-8,12-5,1x
-3,2x+5,1x=-51,84+50,08-8,12
5,1x-3,2x=-(51,84-50,08+8,12)
1,9x=-(1,76+8,12)
1,9x=-9,88
x=-9,88:1,9
x=-98,8:19
x=-5,2

*Цитирирование задания со ссылкой на учебник производится исключительно в учебных целях для лучшего понимания разбора решения задания.
*К сожалению, временные проблемы с публикацией комментариев с мобильных устройств.