🔥ГДЗ под запретом?

Упр.5.17 ГДЗ Виленкин Жохов 6 класс Часть 2, Просвещение (Математика)

Решение #1 (Учебник 2023)

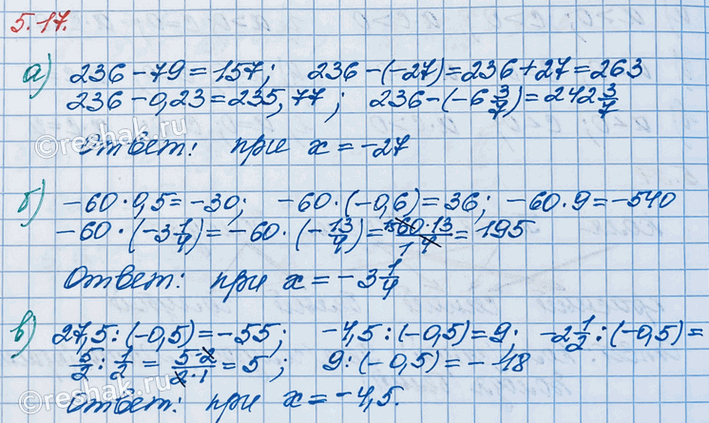
Изображение При каком х получим наибольшее значение выражения:а) 236 - х при х = 79; х = -27; х = 0,23; х = -6 3/7;б) -60x при х = 0,5; х = -0,6; х = 9; х = -3 1/4;в) x :...
Дополнительное изображение

Решение #2 (Учебник 2023)

Изображение При каком х получим наибольшее значение выражения:а) 236 - х при х = 79; х = -27; х = 0,23; х = -6 3/7;б) -60x при х = 0,5; х = -0,6; х = 9; х = -3 1/4;в) x :...

Рассмотрим вариант решения задания из учебника Виленкин, Жохов, Чесноков 6 класс, Просвещение:
При каком х получим наибольшее значение выражения:
а) 236 - х при х = 79; х = -27; х = 0,23; х = -6 3/7;
б) -60x при х = 0,5; х = -0,6; х = 9; х = -3 1/4;
в) x : (-0,5) при х = 27,5; x = -4,5; x = -2 1/2; x = 9?

*Цитирирование задания со ссылкой на учебник производится исключительно в учебных целях для лучшего понимания разбора решения задания.
*К сожалению, временные проблемы с публикацией комментариев с мобильных устройств.