🔥ГДЗ под запретом?

Упр.5.14 ГДЗ Виленкин Жохов 6 класс Часть 2, Просвещение (Математика)

Решение #1 (Учебник 2023)

Изображение Найдите значение суммы:а) -6 2/6 + 4 5/9;   б) 2 4/15 - 3 11/20;   в) -2 2/15 - 4 7/10;   г) -8 5/6 + 7/10.Для того, чтобы сложить два отрицательных числа,...

Решение #2 (Учебник 2023)

Изображение Найдите значение суммы:а) -6 2/6 + 4 5/9;   б) 2 4/15 - 3 11/20;   в) -2 2/15 - 4 7/10;   г) -8 5/6 + 7/10.Для того, чтобы сложить два отрицательных числа,...
Дополнительное изображение
Дополнительное изображение

Решение #3 (Учебник 2023)

Изображение Найдите значение суммы:а) -6 2/6 + 4 5/9;   б) 2 4/15 - 3 11/20;   в) -2 2/15 - 4 7/10;   г) -8 5/6 + 7/10.Для того, чтобы сложить два отрицательных числа,...

Рассмотрим вариант решения задания из учебника Виленкин, Жохов, Чесноков 6 класс, Просвещение:
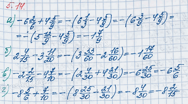
Найдите значение суммы:
а) -6 2/6 + 4 5/9; б) 2 4/15 - 3 11/20; в) -2 2/15 - 4 7/10; г) -8 5/6 + 7/10.
Для того, чтобы сложить два отрицательных числа, необходимо найти и сложить модули слагаемых; перед полученным числом поставить знак «-».
Для того, чтобы сложить два числа с разными знаками, необходимо найти модули слагаемых и из большего модуля вычесть меньший модуль; перед полученным числом поставить знак слагаемого с большим модулем.
При сравнении модулей чисел опираемся на следующие правила:
- из двух натуральных чисел больше то, которое в натуральном ряду встречается раньше.
- из двух десятичных дробей с разными целыми частями больше та дробь, у которой целая часть больше.
- из двух дробей с одинаковыми знаменателями больше та, у которой числитель больше, и меньше та, у которой числитель меньше.
- для того, чтобы сравнить две дроби с разными знаменателями, необходимо привести данные дроби к общему знаменателю и применить правило сравнения дробей с одинаковыми знаменателями.
- из двух смешанных чисел с разными целыми частями больше то число, у которого целая часть больше.
Также при выполнении вычислений опираемся на следующие правила:
- для того, чтобы найти сумму (разность) двух дробей с одинаковыми знаменателями, необходимо сложить (вычесть) их числители, а знаменатель оставить прежним.
- для того, чтобы сложить (вычесть) две дроби с разными знаменателями, необходимо привести данные дроби к наименьшему общему знаменателю и применить правило сложения (вычитания) дробей с одинаковыми знаменателями.
- для того, чтобы выполнить вычитание смешанных чисел, необходимо привести дробные части этих чисел к наименьшему общему знаменателю; если дробная часть уменьшаемого меньше дробной части вычитаемого, превратить её в неправильную дробь, уменьшив на единицу, целую часть; отдельно выполнить вычитание целых частей и отдельно дробных частей.
- для того, чтобы выполнить сложение смешанных чисел, необходимо привести дробные части этих чисел к наименьшему общему знаменателю; отдельно выполнить сложение целых частей и отдельно дробных частей. Если при сложении дробных частей получилась неправильная дробь, выделить целую часть из этой дроби и прибавить её к полученной целой части.
а) -6 2/6+4 5/9=-6 (2•3)/(6•3)+4 (5•2)/(9•2)=-6 6/18+4 10/18=-(5+18/18+6/18)+4 10/18=-5 (18+6)/18+4 10/18=-5 24/18+4 10/18=-(5 24/18-4 10/18)=-((5-4)+(24/18-10/18))=-(1+(24-10)/18)=-1 14/18=-1 (2•7)/(2•9)=-1 7/9
б) 2 4/15-3 11/20=-(3 11/20-2 4/15)=-(3 (11•3)/(20•3)-2 (4•4)/(15•4))=-(3 33/60-2 16/60)=-((3-2)+(33/60-16/60))=-(1+(33-16)/60)=-1 17/60
в) -2 2/15-4 7/10=-(2 2/15+4 7/10)=-(2 (2•2)/(15•2)+4 (7•3)/(10•3))=-(2 4/30+4 21/30)=-((2+4)+(4/30+21/30))=-(6+(4+21)/30)=-6 25/30=-6 (5•5)/(5•6)=-6 5/6
г) -8 5/6+7/10=-(8 5/6-7/10)=-(8 (5•5)/(6•5)-(7•3)/(10•3))=-(8 25/30-21/30)=-(8+(25/30-21/30))=-8 (25-21)/30=-8 4/30=-8 (2•2)/(2•15)=-8 2/15

*Цитирирование задания со ссылкой на учебник производится исключительно в учебных целях для лучшего понимания разбора решения задания.
*К сожалению, временные проблемы с публикацией комментариев с мобильных устройств.