🔥ГДЗ под запретом?

Упр.5.8 ГДЗ Виленкин Жохов 6 класс Часть 2, Просвещение (Математика)

Решение #1 (Учебник 2023)

Изображение Упростите выражение:			а) 1,6 + (n - 33);         г) (14 - с) - 10 8/15;   ж) 3/4 - (1/4 - y);б) (11 - z) + 2/9;         д) x + (10,8	- x);       з) -11,9 - (-n -...

Решение #2 (Учебник 2023)

Изображение Упростите выражение:			а) 1,6 + (n - 33);         г) (14 - с) - 10 8/15;   ж) 3/4 - (1/4 - y);б) (11 - z) + 2/9;         д) x + (10,8	- x);       з) -11,9 - (-n -...
Дополнительное изображение

Решение #3 (Учебник 2023)

Изображение Упростите выражение:			а) 1,6 + (n - 33);         г) (14 - с) - 10 8/15;   ж) 3/4 - (1/4 - y);б) (11 - z) + 2/9;         д) x + (10,8	- x);       з) -11,9 - (-n -...

Рассмотрим вариант решения задания из учебника Виленкин, Жохов, Чесноков 6 класс, Просвещение:
Упростите выражение:
а) 1,6 + (n - 33); г) (14 - с) - 10 8/15; ж) 3/4 - (1/4 - y);
б) (11 - z) + 2/9; д) x + (10,8 - x); з) -11,9 - (-n - 11,9).
в) -0,23 + (5,03 - n); е) —с + (с - 2,2);
Если перед скобками стоит знак «+», то можно опустить скобки и этот знак «+», сохранив знаки слагаемых, стоящих в скобках. Если первое слагаемое в скобках записано без знака, то его необходимо записать со знаком «+».
Для того, чтобы раскрыть скобки, перед которыми стоит знак «-», необходимо заменить этот знак на «-», поменяв знаки всех слагаемых в скобках на противоположные, а потом раскрыть скобки.
Для того, чтобы найти сумму (разность) двух дробей с одинаковыми знаменателями, необходимо сложить (вычесть) их числители, а знаменатель оставить прежним.
Для того, чтобы сложить два числа с разными знаками, необходимо найти модули слагаемых и из большего модуля вычесть меньший модуль; перед полученным числом поставить знак слагаемого с большим модулем.
Для того, чтобы сложить два отрицательных числа, необходимо найти и сложить модули слагаемых; перед полученным числом поставить знак «-».
Сумма двух противоположных чисел равна нулю.
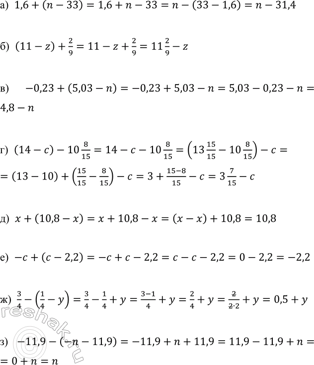
а) 1,6+(n-33)=1,6+n-33=n-(33-1,6)=n-31,4
б) (11-z)+2/9=11-z+2/9=11 2/9-z
в) -0,23+(5,03-n)=-0,23+5,03-n=5,03-0,23-n=4,8-n
г) (14-c)-10 8/15=14-c-10 8/15=(13 15/15-10 8/15)-c=(13-10)+(15/15-8/15)-c=3+(15-8)/15-c=3 7/15-c
д) x+(10,8-x)=x+10,8-x=(x-x)+10,8=10,8
е) -c+(c-2,2)=-c+c-2,2=c-c-2,2=0-2,2=-2,2
ж) 3/4-(1/4-y)=3/4-1/4+y=(3-1)/4+y=2/4+y=2/(2•2)+y=0,5+y
з) -11,9-(-n-11,9)=-11,9+n+11,9=11,9-11,9+n==0+n=n

*Цитирирование задания со ссылкой на учебник производится исключительно в учебных целях для лучшего понимания разбора решения задания.
*К сожалению, временные проблемы с публикацией комментариев с мобильных устройств.