Упр.487 ГДЗ Мерзляк Полонский 7 класс (Алгебра)
Решение #1 (Учебник 2025)
Решение #2 (Учебник 2025)
Решение #3 (Учебник 2021)
Решение #4 (Учебник 2021)

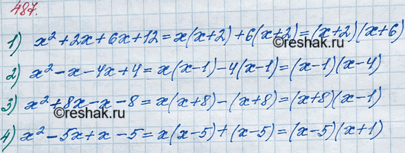
Рассмотрим вариант решения задания из учебника Мерзляк, Полонская, Якир 7 класс, Вентана-Граф:
За 3 дня турист прошёл 108 км. За второй день он прошёл на 6 км больше, чем за первый, а за третий — 5/13 расстояния, пройденного за первых два дня. Сколько километров турист прошёл за каждый из этих дней?
Разложите на множители трёхчлен, представив предварительно один из его членов в виде суммы подобных слагаемых:
1) х2 +8х + 12;
2) х2 — 5х + 4;
3) х2 +7х —8;
4) х2 -4х-5.
Похожие решебники
Популярные решебники 7 класс Все решебники
*К сожалению, временные проблемы с публикацией комментариев с мобильных устройств.