🔥ГДЗ под запретом?

Упр.4.301 ГДЗ Виленкин Жохов 6 класс Часть 2, Просвещение (Математика)

Решение #1 (Учебник 2023)

Изображение Вычислите: а) 46 · (-4) - (-32) · (-6) + (-15) · (-20);   г) (-4 1/2 + 3 3/4) · (-9 6/7 + 8 4/7);б) (-1,6 + 7,2 - 4,6 + 8,1) · (-2,3);          д) 1 1/4 · (-4/5) -...

Решение #2 (Учебник 2023)

Изображение Вычислите: а) 46 · (-4) - (-32) · (-6) + (-15) · (-20);   г) (-4 1/2 + 3 3/4) · (-9 6/7 + 8 4/7);б) (-1,6 + 7,2 - 4,6 + 8,1) · (-2,3);          д) 1 1/4 · (-4/5) -...
Дополнительное изображение
Дополнительное изображение
Дополнительное изображение

Решение #3 (Учебник 2023)

Изображение Вычислите: а) 46 · (-4) - (-32) · (-6) + (-15) · (-20);   г) (-4 1/2 + 3 3/4) · (-9 6/7 + 8 4/7);б) (-1,6 + 7,2 - 4,6 + 8,1) · (-2,3);          д) 1 1/4 · (-4/5) -...

Рассмотрим вариант решения задания из учебника Виленкин, Жохов, Чесноков 6 класс, Просвещение:
Вычислите:
а) 46 · (-4) - (-32) · (-6) + (-15) · (-20); г) (-4 1/2 + 3 3/4) · (-9 6/7 + 8 4/7);
б) (-1,6 + 7,2 - 4,6 + 8,1) · (-2,3); д) 1 1/4 · (-4/5) - (- 1 7/8) · 1 3/5;
в) (3,2 - 6,7) · (-4,4 + 6,1); е) 1 1/4 · (-15,3 - 18,9 · 5/7).
Порядок выполнения действий определяем по следующим правилам:
- если в выражении нет скобок (скобки, которые определяют отрицательное число, не учитываем) и оно содержит действия первой (сложение и вычитание) и второй (умножение и деление) ступени, то сначала выполняют действия второй ступени по порядку слева направо, а потом действия первой ступени, также по порядку слева направо.
- если в выражении есть скобки (скобки, которые определяют отрицательное число, не учитываем), то сначала выполняют действия в скобках, а затем за скобками.
Если скобки содержат сумму положительных и отрицательных чисел, то сначала складываем числа с одинаковыми знаками, а затем складываем полученные результаты.
При выполнении вычислений опираемся на следующие правила:
- для того, чтобы сложить два числа с разными знаками, необходимо найти модули слагаемых и из большего модуля вычесть меньший модуль; перед полученным числом поставить знак слагаемого с большим модулем.
- для того, чтобы сложить два отрицательных числа, необходимо найти модули слагаемых, сложить модули слагаемых и перед полученным числом поставить знак «-».
-для того, чтобы из данного числа вычесть другое, необходимо к уменьшаемому прибавить число, противоположное вычитаемому.
- для того, чтобы перемножить два числа с разными знаками, необходимо умножить их модули и перед полученным произведением поставить знак «-».
- для того, чтобы перемножить два отрицательных числа, необходимо перемножить их модули.
- для того, чтобы перемножить две десятичные дроби, необходимо умножить их как натуральные числа, не обращая внимание на запятые; в полученном произведении отделить запятой справа столько цифр, сколько их стоит после запятых в обоих множителях вместе.
- для того, чтобы выполнить вычитание смешанных чисел, необходимо привести дробные части этих чисел к наименьшему общему знаменателю; если дробная часть уменьшаемого меньше дробной части вычитаемого, превратить её в неправильную дробь, уменьшив на единицу целую часть; отдельно выполнить вычитание целых частей и отдельно дробных частей.
- произведением двух дробей является дробь, числитель которой равен произведению числителей, а знаменатель – произведению знаменателей.
- для того, чтобы умножить обыкновенную дробь на десятичную, необходимо десятичную дробь представить в виде обыкновенной дроби, у которой в знаменателе стоит единица с нулями (число нулей в знаменателе обыкновенной дроби равно числу знаков после запятой в десятичной дроби), затем выполнить умножение обыкновенных дробей.
- для того, чтобы выполнить умножение смешанных чисел, необходимо записать эти числа в виде неправильных дробей, а затем воспользоваться правилом умножения дробей.
- для того, чтобы преобразовать смешанное число в неправильную дробь, необходимо целую часть числа умножить на знаменатель дробной части к полученному произведению прибавить числитель дробной части; эту сумму записать как числитель неправильной дроби, а в её знаменатель записать знаменатель дробной части смешанного числа.
Для того, чтобы неправильную дробь, числитель которой нацело не делится на знаменатель, преобразовать в смешанное число, необходимо числитель разделить на знаменатель; полученное неполное частное записать как целую часть смешанного числа, а остаток – как числитель его дробной части.
Также при вычислениях с обыкновенными дробями, если возможно, выполняем сокращение.
При сравнении модулей чисел опираемся на следующие правила:
- из двух натуральных чисел меньше то число, которое в натуральном ряду идёт раньше.
- из двух десятичных дробей с разными целыми частями больше та дробь, у которой целая часть больше.
- из двух смешанных чисел с разными целыми частями больше то число, у которого целая часть больше.
а) 46•(-4)—32•(-6)+(-15)•(-20)=-(46•4)-32•6+15•20=-184-192+300=-184+(-192)+300=-(184+192)+300=-376+300=-(376-300)=-76
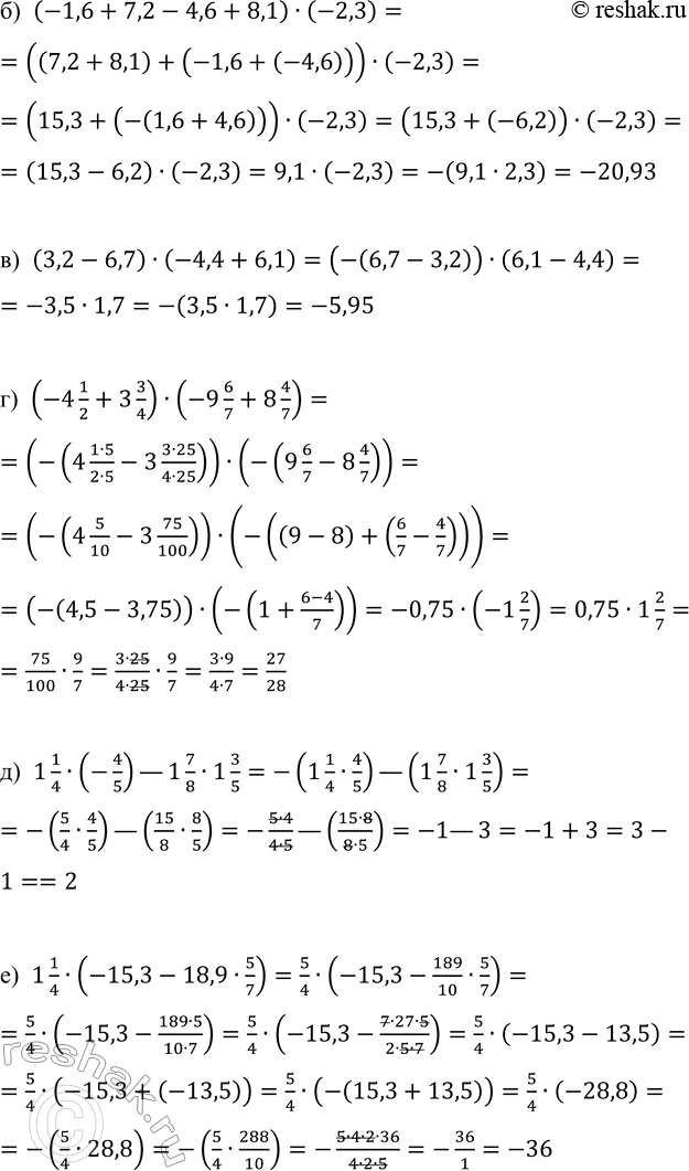
б) (-1,6+7,2-4,6+8,1)•(-2,3)=((7,2+8,1)+(-1,6+(-4,6)))•(-2,3)=(15,3+(-(1,6+4,6)))•(-2,3)=(15,3+(-6,2))•(-2,3)==(15,3-6,2)•(-2,3)=9,1•(-2,3)=-(9,1•2,3)=-20,93
в) (3,2-6,7)•(-4,4+6,1)=(-(6,7-3,2))•(6,1-4,4)=-3,5•1,7=-(3,5•1,7)=-5,95
г) (-4 1/2+3 3/4)•(-9 6/7+8 4/7)=(-(4 (1•5)/(2•5)-3 (3•25)/(4•25)))•(-(9 6/7-8 4/7))=(-(4 5/10-3 75/100))•(-((9-8)+(6/7-4/7)))=(-(4,5-3,75))•(-(1+(6-4)/7))=-0,75•(-1 2/7)=0,75•1 2/7=75/100•9/7=(3•25)/(4•25)•9/7=(3•9)/(4•7)=27/28
д) 1 1/4•(-4/5)—1 7/8•1 3/5=-(1 1/4•4/5)—(1 7/8•1 3/5)=-(5/4•4/5)—(15/8•8/5)=-(5•4)/(4•5)—((15•8)/(8•5))=-1—3=-1+3=3-1==2
е) 1 1/4•(-15,3-18,9•5/7)=5/4•(-15,3-189/10•5/7)=5/4•(-15,3-(189•5)/(10•7))=5/4•(-15,3-(7•27•5)/(2•5•7))=5/4•(-15,3-13,5)=5/4•(-15,3+(-13,5))=5/4•(-(15,3+13,5))=5/4•(-28,8)=-(5/4•28,8)=-(5/4•288/10)=-(5•4•2•36)/(4•2•5)=-36/1=-36

*Цитирирование задания со ссылкой на учебник производится исключительно в учебных целях для лучшего понимания разбора решения задания.
*К сожалению, временные проблемы с публикацией комментариев с мобильных устройств.