🔥ГДЗ под запретом?

Упр.4.184 ГДЗ Виленкин Жохов 6 класс Часть 2, Просвещение (Математика)

Решение #1 (Учебник 2023)

Изображение ) Сравните, если а и b — положительные числа:а) -а и b;   в) 0 и а;    д) |b| и b;    ж) -а и |b|;б) b и -а;   г) -b и 0;   е) |a| и -а;   з) |-a| и -b.a  и  b -...

Решение #2 (Учебник 2023)

Изображение ) Сравните, если а и b — положительные числа:а) -а и b;   в) 0 и а;    д) |b| и b;    ж) -а и |b|;б) b и -а;   г) -b и 0;   е) |a| и -а;   з) |-a| и -b.a  и  b -...
Дополнительное изображение

Решение #3 (Учебник 2023)

Изображение ) Сравните, если а и b — положительные числа:а) -а и b;   в) 0 и а;    д) |b| и b;    ж) -а и |b|;б) b и -а;   г) -b и 0;   е) |a| и -а;   з) |-a| и -b.a  и  b -...

Рассмотрим вариант решения задания из учебника Виленкин, Жохов, Чесноков 6 класс, Просвещение:
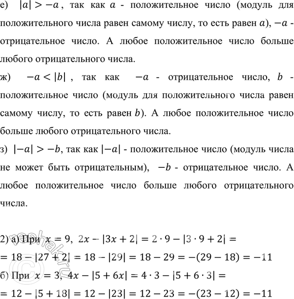
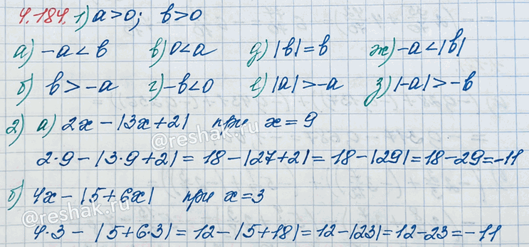
) Сравните, если а и b — положительные числа:
а) -а и b; в) 0 и а; д) |b| и b; ж) -а и |b|;
б) b и -а; г) -b и 0; е) |a| и -а; з) |-a| и -b.
a и b - положительные числа.
Значит, -a и –b – отрицательные числа.
а) -a<b, так как любое положительное число больше любого отрицательного числа.
б) b>- a, так как любое положительное число больше любого отрицательного числа.
в) 0 < a, так как любое положительное число больше нуля.
г) -b<0, так как любое отрицательное число меньше нуля
д) |b|=b, так как b - положительное число, а модуль для положительного числа равен самому числу.
е) |a|>-a, так как a - положительное число (модуль для положительного числа равен самому числу, то есть равен a), -a - отрицательное число. А любое положительное число больше любого отрицательного числа.
ж) -a<|b|, так как -a - отрицательное число, b - положительное число (модуль для положительного числа равен самому числу, то есть равен b). А любое положительное число больше любого отрицательного числа.
з) |-a|>-b, так как |-a| - положительное число (модуль числа не может быть отрицательным), -b - отрицательное число. А любое положительное число больше любого отрицательного числа.
2) Найдите значение выражения:
а) 2х - |3х + 2| при х = 9;
При x=9, 2x-|3x+2|=2•9-|3•9+2|=
=18-|27+2|=18-|29|=18-29=-(29-18)=-11
б) 4х - |5 + 6х| при х = 3.
При x=3, 4x-|5+6x|=4•3-|5+6•3|=
=12-|5+18|=12-|23|=12-23=-(23-12)=-11
Модулем числа a называют расстояние (в единичных отрезках) от начала координат до точки A(a).
Для положительного числа и нуля он равен самому числу, а для отрицательного – противоположному числу.
Противоположные числа имеют равные модули.
|a|=a, если a - неотрицательное число.
|a|=-a, если a - отрицательное число.

*Цитирирование задания со ссылкой на учебник производится исключительно в учебных целях для лучшего понимания разбора решения задания.
*К сожалению, временные проблемы с публикацией комментариев с мобильных устройств.