🔥ГДЗ под запретом?

Упр.4.190 ГДЗ Виленкин Жохов 6 класс Часть 2, Просвещение (Математика)

Решение #1 (Учебник 2023)

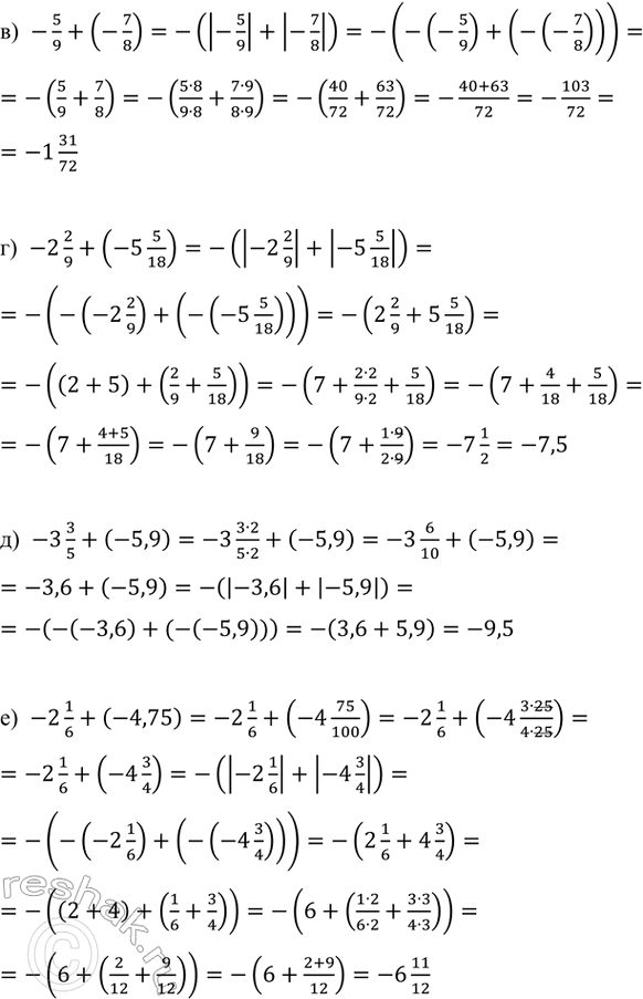
Изображение Выполните сложение:а) -4/7 + (-2/7);   в) -5/9 + (-7/8);        ж) -3 3/5 + (-5,9);б) -3/7 + (-3/4);   г) -2 2/9 + (-5 5/18);   е) -2 1/6 + (-4,75).Для того,...

Решение #2 (Учебник 2023)

Изображение Выполните сложение:а) -4/7 + (-2/7);   в) -5/9 + (-7/8);        ж) -3 3/5 + (-5,9);б) -3/7 + (-3/4);   г) -2 2/9 + (-5 5/18);   е) -2 1/6 + (-4,75).Для того,...
Дополнительное изображение

Решение #3 (Учебник 2023)

Изображение Выполните сложение:а) -4/7 + (-2/7);   в) -5/9 + (-7/8);        ж) -3 3/5 + (-5,9);б) -3/7 + (-3/4);   г) -2 2/9 + (-5 5/18);   е) -2 1/6 + (-4,75).Для того,...

Рассмотрим вариант решения задания из учебника Виленкин, Жохов, Чесноков 6 класс, Просвещение:
Выполните сложение:
а) -4/7 + (-2/7); в) -5/9 + (-7/8); ж) -3 3/5 + (-5,9);
б) -3/7 + (-3/4); г) -2 2/9 + (-5 5/18); е) -2 1/6 + (-4,75).
Для того, чтобы сложить два отрицательных числа, необходимо сложить их модули и поставить перед полученным числом знак «-».
Модуль числа не может быть отрицательным. Для отрицательного числа равен противоположному числу |a|=-a, если a - отрицательное число.
Для того, чтобы найти сумму двух дробей с одинаковыми знаменателями, необходимо сложить их числители, а знаменатель оставить прежним.
Для того, чтобы сложить две дроби с разными знаменателями, необходимо привести данные дроби к общему знаменателю; применить правило сложения дробей с одинаковыми знаменателями.
Для того, чтобы выполнить сложение смешанных чисел, необходимо привести дробные части этих чисел к наименьшему общему знаменателю; отдельно выполнить сложение целых частей и отдельно дробных частей.
Если при сложении дробных частей получилась неправильная дробь, выделить целую часть из этой дроби и прибавить её к полученной целой части.
а) -4/7+(-2/7)=-(|-4/7|+|-2/7|)=-(-(-4/7)+(-(-2/7)))=-(4/7+2/7)=-(4+2)/7=-6/7
б) -3/7+(-3/4)=-(|-3/7|+|-3/4|)=-(-(-3/7)+(-(-3/4)))=-(3/7+3/4)=-((3•4)/(7•4)+(3•7)/(4•7))=-(12/28+21/28)=-(12+21)/28=-33/28=-1 5/28
в) -5/9+(-7/8)=-(|-5/9|+|-7/8|)=-(-(-5/9)+(-(-7/8)))=-(5/9+7/8)=-((5•8)/(9•8)+(7•9)/(8•9))=-(40/72+63/72)=-(40+63)/72=-103/72=-1 31/72
г) -2 2/9+(-5 5/18)=-(|-2 2/9|+|-5 5/18|)=-(-(-2 2/9)+(-(-5 5/18)))=-(2 2/9+5 5/18)=-((2+5)+(2/9+5/18))=-(7+(2•2)/(9•2)+5/18)=-(7+4/18+5/18)=-(7+(4+5)/18)=-(7+9/18)=-(7+(1•9)/(2•9))=-7 1/2=-7,5
д) -3 3/5+(-5,9)=-3 (3•2)/(5•2)+(-5,9)=-3 6/10+(-5,9)=-3,6+(-5,9)=-(|-3,6|+|-5,9|)=-(-(-3,6)+(-(-5,9)))=-(3,6+5,9)=-9,5
е) -2 1/6+(-4,75)=-2 1/6+(-4 75/100)=-2 1/6+(-4 (3•25)/(4•25))=-2 1/6+(-4 3/4)=-(|-2 1/6|+|-4 3/4|)=-(-(-2 1/6)+(-(-4 3/4)))=-(2 1/6+4 3/4)=-((2+4)+(1/6+3/4))=-(6+((1•2)/(6•2)+(3•3)/(4•3)))=-(6+(2/12+9/12))=-(6+(2+9)/12)=-6 11/12

*Цитирирование задания со ссылкой на учебник производится исключительно в учебных целях для лучшего понимания разбора решения задания.
*К сожалению, временные проблемы с публикацией комментариев с мобильных устройств.