🔥ГДЗ под запретом?

Упр.4.183 ГДЗ Виленкин Жохов 6 класс Часть 2, Просвещение (Математика)

Решение #1 (Учебник 2023)

Изображение Числа -21; -7,6; 10; -7/9; -3/8; 17,6; 3/4; -20 4/9; 0; -20 8/9; -7,4; 1 запишите в порядке возрастания.		Расположить числа в порядке возрастания, значит, записать...

Решение #2 (Учебник 2023)

Изображение Числа -21; -7,6; 10; -7/9; -3/8; 17,6; 3/4; -20 4/9; 0; -20 8/9; -7,4; 1 запишите в порядке возрастания.		Расположить числа в порядке возрастания, значит, записать...
Дополнительное изображение

Решение #3 (Учебник 2023)

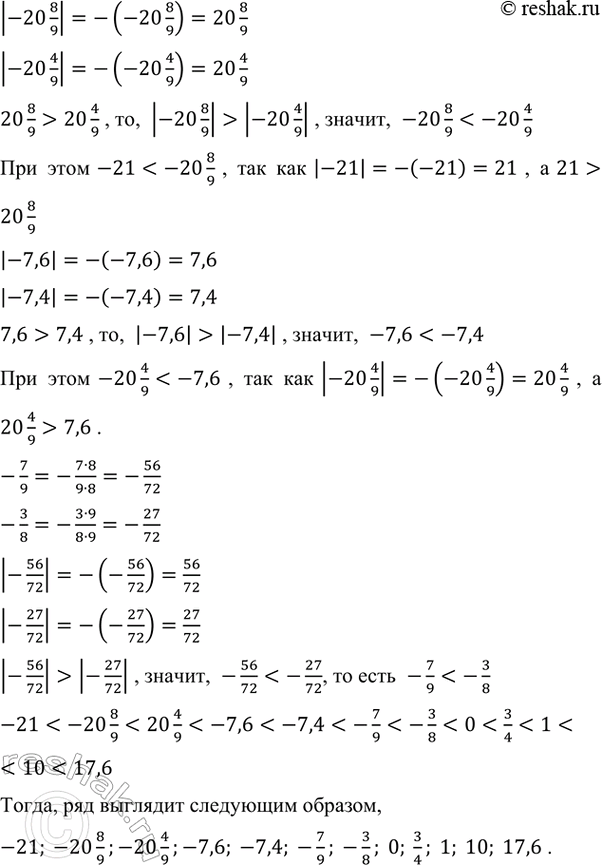
Изображение Числа -21; -7,6; 10; -7/9; -3/8; 17,6; 3/4; -20 4/9; 0; -20 8/9; -7,4; 1 запишите в порядке возрастания.		Расположить числа в порядке возрастания, значит, записать...

Рассмотрим вариант решения задания из учебника Виленкин, Жохов, Чесноков 6 класс, Просвещение:
Числа -21; -7,6; 10; -7/9; -3/8; 17,6; 3/4; -20 4/9; 0; -20 8/9; -7,4; 1 запишите в порядке возрастания.
Расположить числа в порядке возрастания, значит, записать их в ряд, в котором каждое последующее число больше предыдущего.
Для записи данного ряда используем то, что:
- любое положительное число больше любого отрицательного числа и любое положительное число больше нуля.
- любое отрицательное число меньше нуля.
- из двух отрицательных чисел меньше то, модуль которого больше.
- для того, чтобы сравнить две дроби с разными знаменателями, необходимо привести данные дроби к общему знаменателю; применить правило сравнения дробей с одинаковыми знаменателями.
- любая правильная дробь меньше единицы, а любая неправильная дробь больше или равна единице.
- из двух дробей с одинаковыми знаменателями больше та, у которой числитель больше, и меньше та, у которой числитель меньше.
- из двух десятичных дробей с одинаковыми целыми частями и равным количеством цифр после запятой больше будет та дробь, у которой больше первая (при чтении слева направо) из неодинаковых цифр их дробных частей (поразрядное сравнение).
|-20 8/9|=-(-20 8/9)=20 8/9
|-20 4/9|=-(-20 4/9)=20 4/9
20 8/9>20 4/9 , то, |-20 8/9|>|-20 4/9| , значит, -20 8/9<-20 4/9
При этом -21<-20 8/9 , так как |-21|=-(-21)=21 , а 21>20 8/9
|-7,6|=-(-7,6)=7,6
|-7,4|=-(-7,4)=7,4
7,6>7,4 , то, |-7,6|>|-7,4| , значит, -7,6<-7,4
При этом -20 4/9<-7,6 , так как |-20 4/9|=-(-20 4/9)=20 4/9 , а 20 4/9>7,6 .
-7/9=-(7•8)/(9•8)=-56/72
-3/8=-(3•9)/(8•9)=-27/72
|-56/72|=-(-56/72)=56/72
|-27/72|=-(-27/72)=27/72
|-56/72|>|-27/72| , значит, -56/72<-27/72, то есть -7/9<-3/8
-21<-20 8/9<20 4/9<-7,6<-7,4<-7/9<-3/8<0<3/4<1<
<10<17,6
Тогда, ряд выглядит следующим образом,
-21; -20 8/9;-20 4/9;-7,6; -7,4; -7/9; -3/8; 0; 3/4; 1; 10; 17,6.

*Цитирирование задания со ссылкой на учебник производится исключительно в учебных целях для лучшего понимания разбора решения задания.
*К сожалению, временные проблемы с публикацией комментариев с мобильных устройств.