🔥ГДЗ под запретом?

Упр.4.187 ГДЗ Виленкин Жохов 6 класс Часть 2, Просвещение (Математика)

Решение #1 (Учебник 2023)

Изображение Для нахождения объёма цилиндра нужно площадь одного из оснований умножить на высоту цилиндра. Обьём конуса, у которого основание и высота равны основанию и высоте...

Решение #2 (Учебник 2023)

Изображение Для нахождения объёма цилиндра нужно площадь одного из оснований умножить на высоту цилиндра. Обьём конуса, у которого основание и высота равны основанию и высоте...

Решение #3 (Учебник 2023)

Изображение Для нахождения объёма цилиндра нужно площадь одного из оснований умножить на высоту цилиндра. Обьём конуса, у которого основание и высота равны основанию и высоте...

Рассмотрим вариант решения задания из учебника Виленкин, Жохов, Чесноков 6 класс, Просвещение:
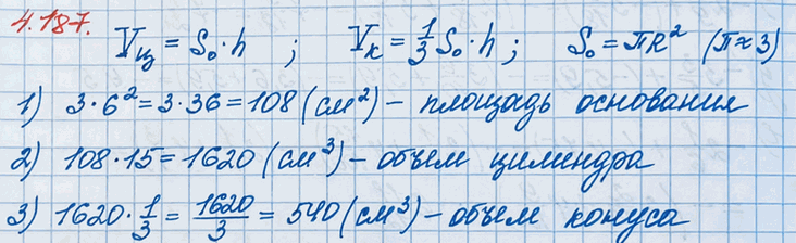
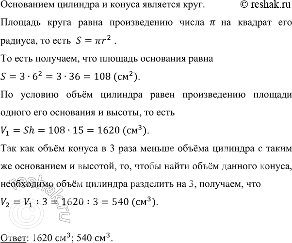
Для нахождения объёма цилиндра нужно площадь одного из оснований умножить на высоту цилиндра. Обьём конуса, у которого основание и высота равны основанию и высоте цииндра, в 3 раза меньше объёма цилиндра (рис. 38). Найдите объёмы цилиндра и конуса с высотой 15 см и радиусом оснований 6 см.
Основанием цилиндра и конуса является круг.
Площадь круга равна произведению числа п на квадрат его радиуса, то есть S=пr^2 .
То есть получаем, что площадь основания равна
S=3•6^2=3•36=108 (см^2).
По условию объём цилиндра равен произведению площади одного его основания и высоты, то есть
V_1=Sh=108•15=1620 (см^3).
Так как объём конуса в 3 раза меньше объёма цилиндра с таким же основанием и высотой, то, чтобы найти объём данного конуса, необходимо объём цилиндра разделить на 3, получаем, что
V_2=V_1 :3=1620:3=540 (см^3).
Ответ: 1620 см^3; 540 см^3.

*Цитирирование задания со ссылкой на учебник производится исключительно в учебных целях для лучшего понимания разбора решения задания.
*К сожалению, временные проблемы с публикацией комментариев с мобильных устройств.