Упр.38.3 ГДЗ Мерзляк 10 класс Углубленный уровень (Алгебра)
Решение #1

Рассмотрим вариант решения задания из учебника Мерзляк, Номировский, Поляков 10 класс, Просвещение:
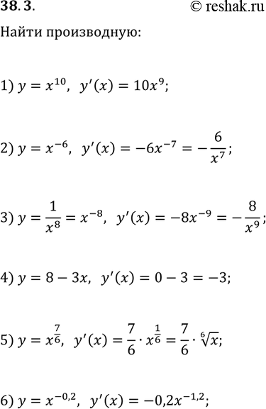
38.3. Найдите производную функции:
1) y=x^10; 3) y=1/x^8; 5) y=x^(7/6);
2) y=x^(-6); 4) y=8-3x; 6) y=x^(-0,2).
Похожие решебники
Популярные решебники 10 класс Все решебники
*размещая тексты в комментариях ниже, вы автоматически соглашаетесь с пользовательским соглашением