Упр.38.8 ГДЗ Мерзляк 10 класс Углубленный уровень (Алгебра)
Решение #1

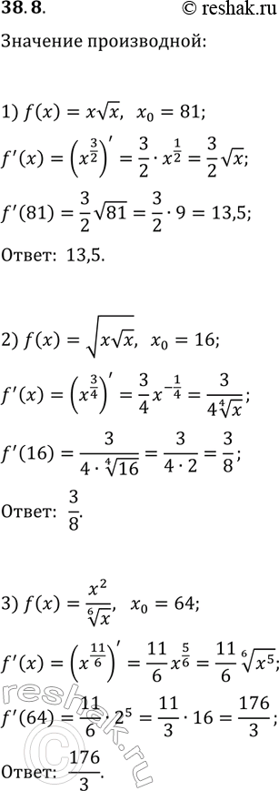
Рассмотрим вариант решения задания из учебника Мерзляк, Номировский, Поляков 10 класс, Просвещение:
38.8. Вычислите значение производной функции f в точке x_0:
1) f(x)=xvx, x_0=81; 3) f(x)=x^2/x^(1/6), x_0=64.
2) f(x)=v(xvx), x_0=16;
Похожие решебники
Популярные решебники 10 класс Все решебники
*размещая тексты в комментариях ниже, вы автоматически соглашаетесь с пользовательским соглашением