Упр.38.6 ГДЗ Мерзляк 10 класс Углубленный уровень (Алгебра)
Решение #1

Рассмотрим вариант решения задания из учебника Мерзляк, Номировский, Поляков 10 класс, Просвещение:
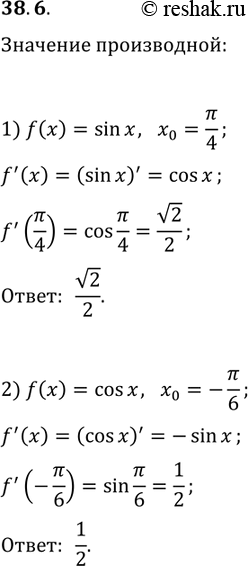
38.6. Вычислите значение производной функции f в точке x_0:
1) f(x)=sin(x), x_0=?/4; 2) f(x)=cos(x), x_0=-?/6.
Похожие решебники
Популярные решебники 10 класс Все решебники
*размещая тексты в комментариях ниже, вы автоматически соглашаетесь с пользовательским соглашением