Упр.37.9 ГДЗ Мерзляк 10 класс Углубленный уровень (Алгебра)
Решение #1

Рассмотрим вариант решения задания из учебника Мерзляк, Номировский, Поляков 10 класс, Просвещение:
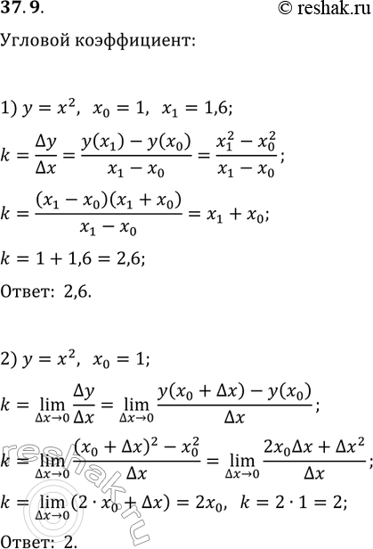
37.9. Найдите угловой коэффициент:
1) секущей графика функции y=x^2, проходящей через точки графика с абсциссами x_0=1 и x_1=1,6;
2) касательной к графику функции y=x^2 в точке с абсциссой x_0=1.
Похожие решебники
Популярные решебники 10 класс Все решебники
*размещая тексты в комментариях ниже, вы автоматически соглашаетесь с пользовательским соглашением