Упр.38.9 ГДЗ Мерзляк 10 класс Углубленный уровень (Алгебра)
Решение #1

Рассмотрим вариант решения задания из учебника Мерзляк, Номировский, Поляков 10 класс, Просвещение:
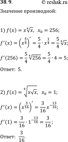
38.9. Вычислите значение производной функции f в точке x_0:
1) f(x)=x x^(1/4), x_0=256; 2) f(x)=(xvx)^(1/8), x_0=1.
Похожие решебники
Популярные решебники 10 класс Все решебники
*размещая тексты в комментариях ниже, вы автоматически соглашаетесь с пользовательским соглашением