Упр.37.10 ГДЗ Мерзляк 10 класс Углубленный уровень (Алгебра)
Решение #1

Рассмотрим вариант решения задания из учебника Мерзляк, Номировский, Поляков 10 класс, Просвещение:
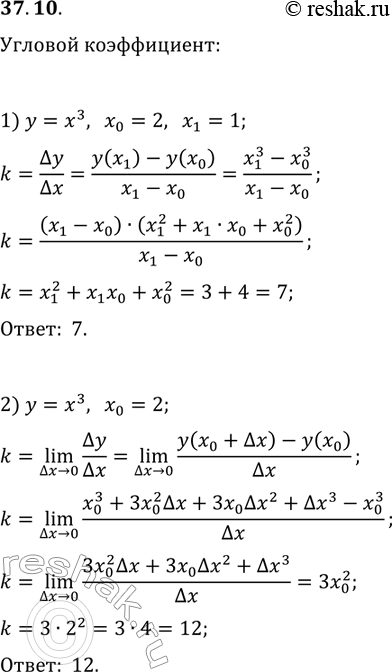
37.10. Найдите угловой коэффициент:
1) секущей графика функции y=x^3, проходящей через точки графика с абсциссами x_0=2 и x_1=1;
2) касательной к графику функции y=x^3 в точке с абсциссой х_0=2.
Похожие решебники
Популярные решебники 10 класс Все решебники
*размещая тексты в комментариях ниже, вы автоматически соглашаетесь с пользовательским соглашением