Упр.33.20 ГДЗ Мерзляк 10 класс Углубленный уровень (Алгебра)
Решение #1

Рассмотрим вариант решения задания из учебника Мерзляк, Номировский, Поляков 10 класс, Просвещение:
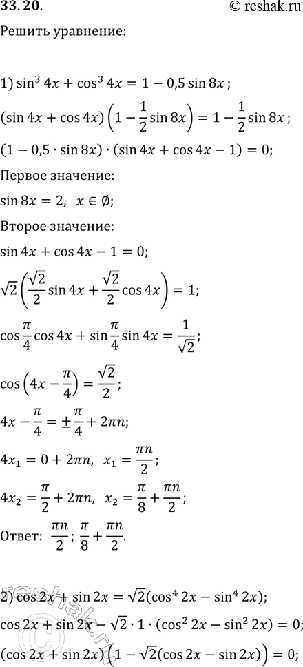
33.20. Решите уравнение:
1) sin^3(4x)+cos^3(4x)=1-0,5sin(8x);
2) cos(2x)+sin(2x)=v2(cos^4(2x)-sin^4(2x)).
Похожие решебники
Популярные решебники 10 класс Все решебники
*К сожалению, временные проблемы с публикацией комментариев с мобильных устройств.