Упр.33.17 ГДЗ Мерзляк 10 класс Углубленный уровень (Алгебра)
Решение #1

Рассмотрим вариант решения задания из учебника Мерзляк, Номировский, Поляков 10 класс, Просвещение:
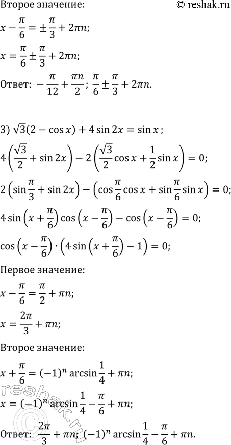
33.17. Решите уравнение:
1) sin(7x)-v2cos(5x)+v3cos(7x)-v2sin(5x)=0;
2) 2sin(3x)+sion(x)-cos(2x)=v3(sin(2x)-cos(x));
3) v3(2-cos(x))+4sin(2x)=sin(x).
Похожие решебники
Популярные решебники 10 класс Все решебники
*размещая тексты в комментариях ниже, вы автоматически соглашаетесь с пользовательским соглашением