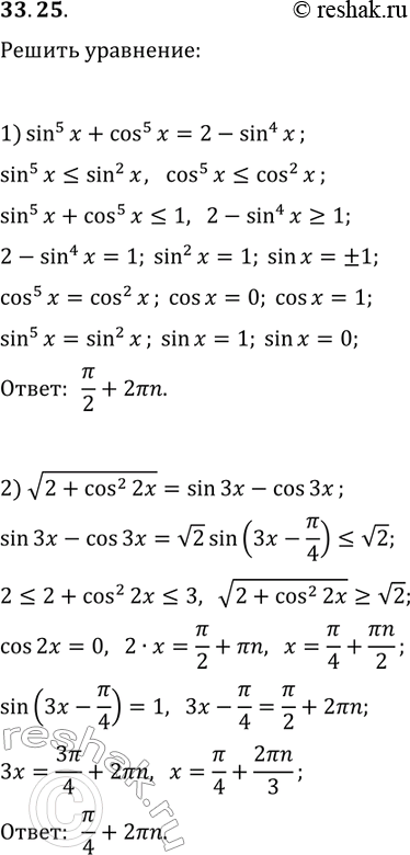
Упр.33.25 ГДЗ Мерзляк 10 класс Углубленный уровень (Алгебра)
Решение #1

Рассмотрим вариант решения задания из учебника Мерзляк, Номировский, Поляков 10 класс, Просвещение:
33.25. Решите уравнение:
1) sin^5(x)+cos^5(x)=2-sin^4(x);
2) v(2+cos^2(2x))=sin(3x)-cos(3x).
Похожие решебники
Популярные решебники 10 класс Все решебники
*размещая тексты в комментариях ниже, вы автоматически соглашаетесь с пользовательским соглашением