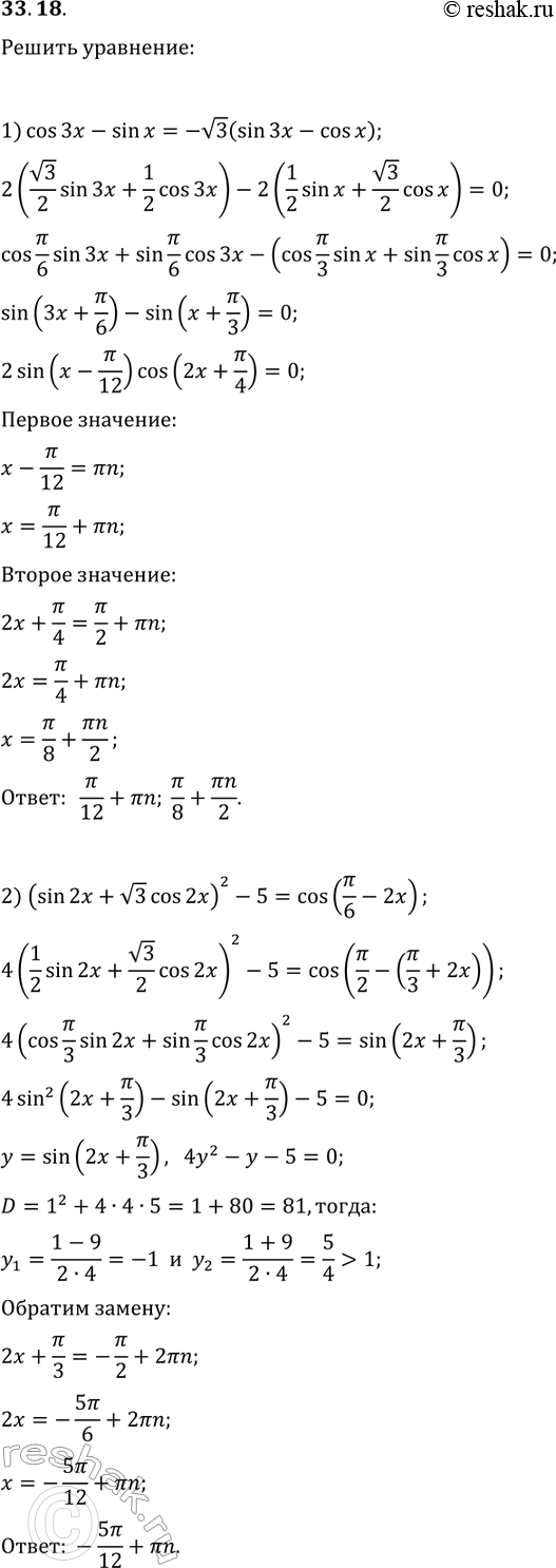
Упр.33.18 ГДЗ Мерзляк 10 класс Углубленный уровень (Алгебра)
Решение #1

Рассмотрим вариант решения задания из учебника Мерзляк, Номировский, Поляков 10 класс, Просвещение:
33.18. Решите уравнение:
1) cos(3x)-sin(x)=-v3(sin(3x)-cos(x));
2) (sin(2x)+v3cos(2x))^2-5=cos(?/6-2x).
Похожие решебники
Популярные решебники 10 класс Все решебники
*размещая тексты в комментариях ниже, вы автоматически соглашаетесь с пользовательским соглашением