🔥ГДЗ под запретом?

Упр.3.95 ГДЗ Виленкин Жохов 6 класс Часть 1, Просвещение (Математика)

Решение #1 (Учебник 2023)

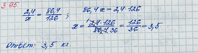
Изображение За 2,4 кг картофеля придётся заплатить 86,4 р. Сколько купили картофеля, если за него заплатили 126 р.?Решим задачу при помощи уравнения.За 2,4 кг картофеля...

Решение #2 (Учебник 2023)

Изображение За 2,4 кг картофеля придётся заплатить 86,4 р. Сколько купили картофеля, если за него заплатили 126 р.?Решим задачу при помощи уравнения.За 2,4 кг картофеля...

Решение #3 (Учебник 2023)

Изображение За 2,4 кг картофеля придётся заплатить 86,4 р. Сколько купили картофеля, если за него заплатили 126 р.?Решим задачу при помощи уравнения.За 2,4 кг картофеля...

Рассмотрим вариант решения задания из учебника Виленкин, Жохов, Чесноков 6 класс, Просвещение:
За 2,4 кг картофеля придётся заплатить 86,4 р. Сколько купили картофеля, если за него заплатили 126 р.?
Решим задачу при помощи уравнения.
За 2,4 кг картофеля придётся заплатить 86,4 р.
Пусть за x кг картофеля заплатили 126 р.
Зависимость между количеством купленного картофеля и его стоимостью прямо пропорциональная, так как если количество картофеля увеличить в несколько раз, то и его стоимость увеличится во столько же раз.
Условно такая зависимость в краткой записи задачи обозначена одинаково направленными стрелками.
Если две величины прямо пропорциональны, то отношения соответствующих значений этих величин равны, следовательно, получим пропорцию 2,4/x=86,4/126
Произведение крайних членов пропорции равно произведению её средних членов, значит,
86,4x=2,4•126 , откуда, неизвестный множитель
x=(2,4•126)/86,4 , так как чтобы найти неизвестный множитель, необходимо произведение разделить на известный множитель.
Выполнив преобразование в числителе и знаменателе,
x=(24•126)/864
x=(24•36•3,5)/(24•36)
x=3,5 .
Значит, купили 3,5 кг картофеля.
Ответ: 3,5 кг.

*Цитирирование задания со ссылкой на учебник производится исключительно в учебных целях для лучшего понимания разбора решения задания.
*К сожалению, временные проблемы с публикацией комментариев с мобильных устройств.