Упр.3.69 ГДЗ Дорофеев Суворова 9 класс (Алгебра)
Решение #1

Рассмотрим вариант решения задания из учебника Дорофеев, Суворова, Бунимович 9 класс, Просвещение:
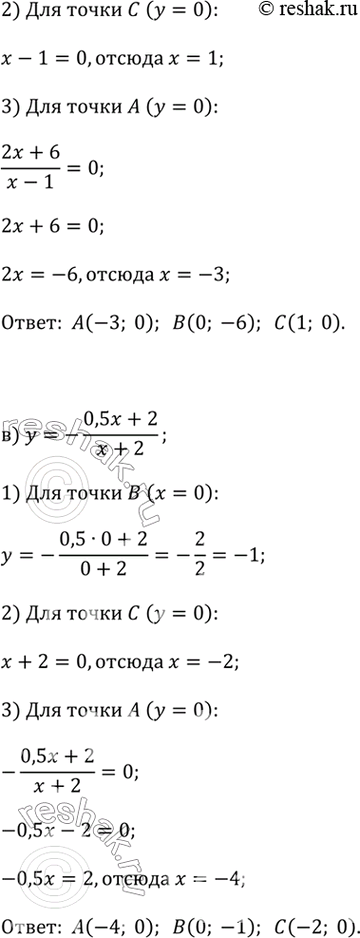
На рисунке 3.7, а—в изображены гиперболы (пунктиром проведены асимптоты — прямые, к которым гипербола неограниченно приближается, но не пересекает их) и указаны соответствующие формулы. Определите координаты точек А, В и С.
Популярные решебники 9 класс Все решебники
*размещая тексты в комментариях ниже, вы автоматически соглашаетесь с пользовательским соглашением