Упр.3.65 ГДЗ Дорофеев Суворова 9 класс (Алгебра)
Решение #1

Рассмотрим вариант решения задания из учебника Дорофеев, Суворова, Бунимович 9 класс, Просвещение:
а) 6/x + (x + 3)/(x + 2) = (4x + 6)/(x^2 + 2x);
б) 6/(x - 2) + 2/x = (x - 3)/(x^2 - 2x);
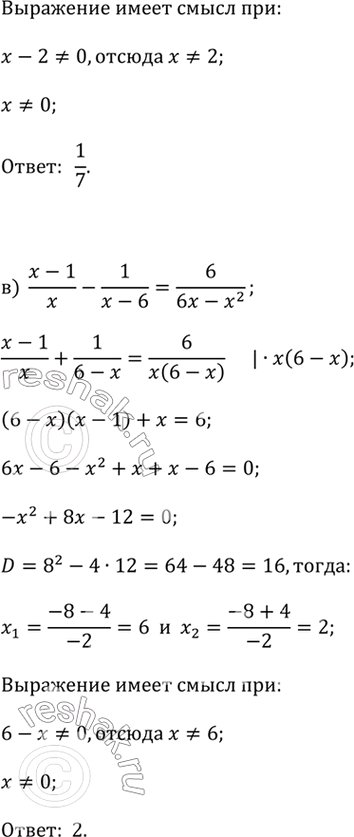
в) (x - 1)/x - 1/(x - 6) = 6/(6x - x^2);
г) 4/x + 3/(x - 5) = (x - 20)/(5x - x^2).
Популярные решебники 9 класс Все решебники
*К сожалению, временные проблемы с публикацией комментариев с мобильных устройств.