Упр.3.73 ГДЗ Дорофеев Суворова 9 класс (Алгебра)
Решение #1

Рассмотрим вариант решения задания из учебника Дорофеев, Суворова, Бунимович 9 класс, Просвещение:
Решите уравнение, используя подходящую подстановку (414—415).
414.
а) 15/(x^2 + x + 1) = 2(x^2 + x) + 1;
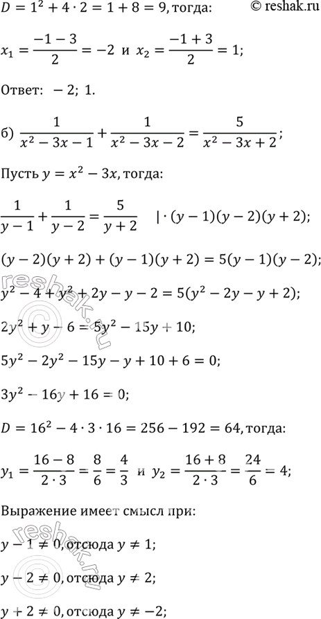
б) 1/(x^2 - 3x - 1) + 1/(x^2 - 3x - 2) = 5/(x^2 - 3x + 2);
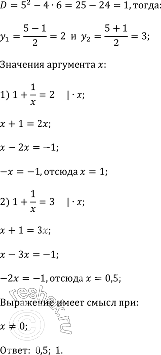
в) (1 + 1/x)^2 - 5(2 + 1/x) + 11 = 0.
Популярные решебники 9 класс Все решебники
*К сожалению, временные проблемы с публикацией комментариев с мобильных устройств.