Упр.3.66 ГДЗ Дорофеев Суворова 9 класс (Алгебра)
Решение #1

Рассмотрим вариант решения задания из учебника Дорофеев, Суворова, Бунимович 9 класс, Просвещение:
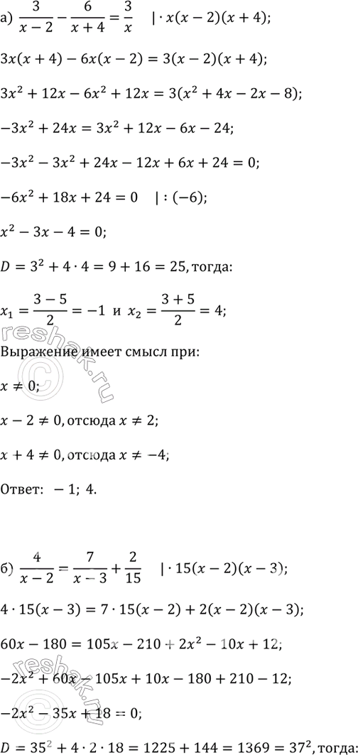
а) 3/(x - 2) - 6/(x + 4) = 3/x;
б) 4/(x - 2) = 7/(x - 3) + 2/15;
в) 3/(4 - x) - 5/x = 7/(3 - x);
г) 1/x - 2/(x-1) = (x + 1)/(x + 2).
Популярные решебники 9 класс Все решебники
*К сожалению, временные проблемы с публикацией комментариев с мобильных устройств.