Упр.3.105 ГДЗ Дорофеев Суворова 9 класс (Алгебра)
Решение #1

Рассмотрим вариант решения задания из учебника Дорофеев, Суворова, Бунимович 9 класс, Просвещение:
Решите систему уравнений способом подстановки, воспользовавшись в качестве образца примером 3 (446- 448).
446.
а) x + y = -11 и xy = -12;
б) xz = -14 и x - z = 9;
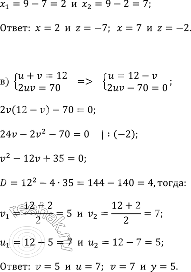
в) u + v = 12 и 2uv = 70.
Популярные решебники 9 класс Все решебники
*К сожалению, временные проблемы с публикацией комментариев с мобильных устройств.