Упр.3.107 ГДЗ Дорофеев Суворова 9 класс (Алгебра)
Решение #1

Рассмотрим вариант решения задания из учебника Дорофеев, Суворова, Бунимович 9 класс, Просвещение:
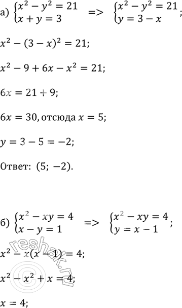
а) x^2 - y^2 = 21 и x + y = 3;
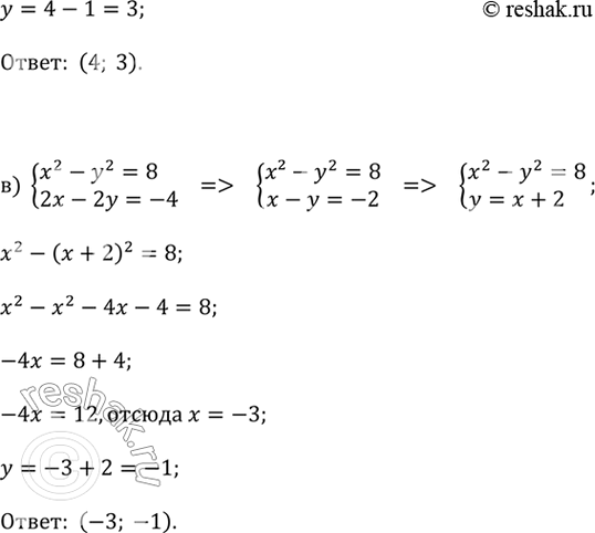
б) x^2 - xy = 4 и x - y = 1;
в) x^2 - y^2 = 8 и 2x - 2y = -4.
Популярные решебники 9 класс Все решебники
*К сожалению, временные проблемы с публикацией комментариев с мобильных устройств.