Упр.3.104 ГДЗ Дорофеев Суворова 9 класс (Алгебра)
Решение #1

Рассмотрим вариант решения задания из учебника Дорофеев, Суворова, Бунимович 9 класс, Просвещение:
Решите систему линейных уравнений:
а) x + 3y = 8 и 2x - y = -5;
б) 3m - 4n = 20 и m + 2n = 0;
в) (x + y)/2 = 1 и x - y = 3;
г) 2x + 5y = -3 и 4x + 3y = -27;
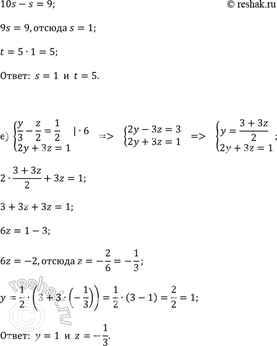
д) t - 5s = 0 и 2t - s = 9;
е) y/3 - z/2 = 1/2 и 2y + 3z = 1.
Популярные решебники 9 класс Все решебники
*размещая тексты в комментариях ниже, вы автоматически соглашаетесь с пользовательским соглашением