Упр.283 ГДЗ Мерзляк 8 класс (Алгебра)
Решение #1
Решение #2
Решение #3

Рассмотрим вариант решения задания из учебника Мерзляк, Полонская, Якир 8 класс, Вентана-Граф:
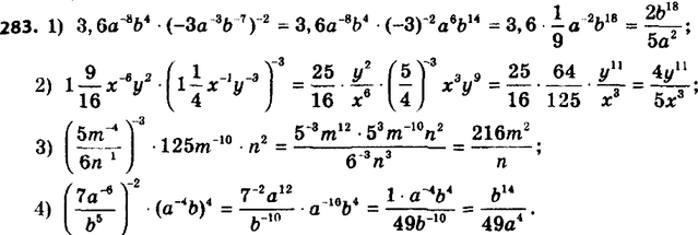
283. Выполните действия и приведите полученное выражение к виду, не содержащему степени с отрицательным показателем:
1) 3,6a^-8 b4 * (-3a^-3 b^-7)^-2;
2) 1 9/16 x^-6 y2 * (1 1/4 x^-1 y^-3)^-3;
3) (5m^-4 / 6n^-1)^-3 * 125m^-10 n2;
4) (7a^-6 / b5)^-2 * (a^-4 b)4.
Похожие решебники
Популярные решебники 8 класс Все решебники
*К сожалению, временные проблемы с публикацией комментариев с мобильных устройств.