Упр.288 ГДЗ Мерзляк 8 класс (Алгебра)
Решение #1
Решение #2
Решение #3

Рассмотрим вариант решения задания из учебника Мерзляк, Полонская, Якир 8 класс, Вентана-Граф:
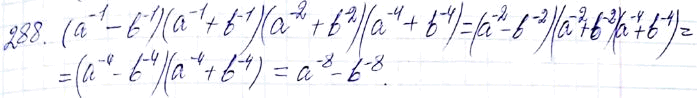
288. Докажите тождество
а^-3 - b^-3 = (а^-1 - b^-1)(а^-1 + b^-1)(а^-2 + b-^2)(а^-4 + b^-4).
Похожие решебники
Популярные решебники 8 класс Все решебники
*К сожалению, временные проблемы с публикацией комментариев с мобильных устройств.