Упр.279 ГДЗ Мерзляк 8 класс (Алгебра)
Решение #1
Решение #2
Решение #3

Рассмотрим вариант решения задания из учебника Мерзляк, Полонская, Якир 8 класс, Вентана-Граф:
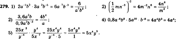
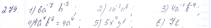
279. Упростите выражение:
1) 2a^-5 b2 * 3a^-2 b^-5;
2) (1/2 * mn^-3)^-2;
3) 3,6a2b / 0,9a3b^-3;
4) 0,8a^-6b8 * 5a10b^-8;
5) 25x^-3/y^-4 * y4/5x^-7;
6) 28c3d^-2 * (2cd^-1)^-2.
Похожие решебники
Популярные решебники 8 класс Все решебники
*К сожалению, временные проблемы с публикацией комментариев с мобильных устройств.