Упр.281 ГДЗ Мерзляк Полонский 8 класс (Алгебра)
Решение #1 (Учебник 2025)
Решение #2 (Учебник 2025)
Решение #3 (Учебник 2019)
Решение #4 (Учебник 2019)

Рассмотрим вариант решения задания из учебника Мерзляк, Полонская, Якир 8 класс, Просвещение:
Найдите значение выражения:
1) 8^-3 * 2^7;
2) 27^-2 : 9^-4;
3) 100^-2 : 1000^-5 * 0,01^6;
4) (2 1/4)^-4 * ((2/3)2)^-3;
5) 25^-4 : (0,2^-3)^-2;
6) (-36)^-3 * 6^8 / (216^-5 * (-6)^18);
7) 6^-10 / (81^-2 * 16^-3);
8) 14^5 * 2^-7 / (28^-2 * 7^8).
Найдите значение выражения:
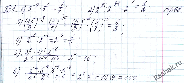
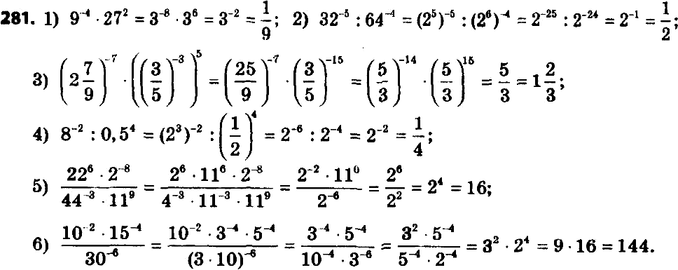
1) 9^-4 * 27^2;
2) 32^-5 : 64^-4;
3) (2 7/9)^-7 * ((3/5)^-3)5;
4) 8^-2 : 0,5^4;
5) 22^6 * 2^-8 / (44^-3 * 11^9);
6) 10^-2 * 15^-4 / 30^-6.
Похожие решебники
Популярные решебники 8 класс Все решебники
*К сожалению, временные проблемы с публикацией комментариев с мобильных устройств.