Упр.289 ГДЗ Мерзляк 8 класс (Алгебра)
Решение #1
Решение #2
Решение #3

Рассмотрим вариант решения задания из учебника Мерзляк, Полонская, Якир 8 класс, Вентана-Граф:
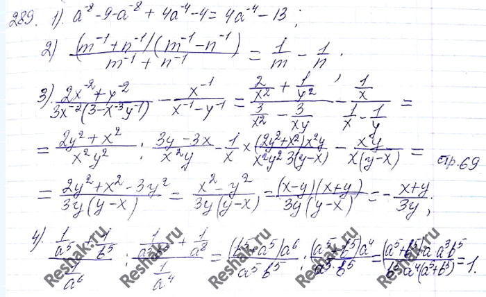
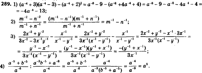
289. Упростите выражение:
1) (а^-4 + 3)(а^-4 - 3) - (а^-4 + 2)2;
2) (m^-2 - n^-2) / (m^-1 + n^-1);
Похожие решебники
Популярные решебники 8 класс Все решебники
*К сожалению, временные проблемы с публикацией комментариев с мобильных устройств.