Упр.278 ГДЗ Мерзляк Полонский 8 класс (Алгебра)
Решение #1 (Учебник 2025)
Решение #2 (Учебник 2025)
Решение #3 (Учебник 2019)
Решение #4 (Учебник 2019)

Рассмотрим вариант решения задания из учебника Мерзляк, Полонская, Якир 8 класс, Просвещение:
Найдите значение выражения:
1) 6^-9 * 6^6;
2) 7^-16 : 7^-18;
3) 5^-7 : 5^-6 * 5^3;
4) (4^-7 * (4^-5)3)/(4^-3)^7;
5) 0,8^-1 * (1 1/4)^-4;
6) 11^-2 / 22^-2.
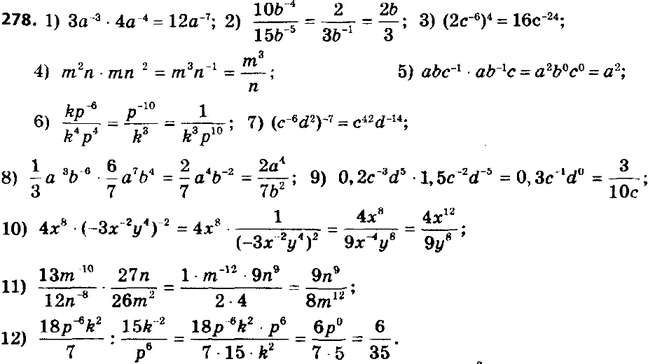
Упростите выражение:
1) 3a^-3 * 4a^-4;
2) 10b^-4 / 15b^-5;
3) (2c^-6)4;
4) m^-2 n * mn^-2;
5) abc^-1 * ab^-1 c;
6) kp^-6/k4p4;
7) (c^-6d2)^-7;
8) 1/3*a^-3b^-6 *6/7*a7b4;
9) 0,2c^-3d5 * 1,5c^-2d^-5;
10) 4x8 * (-3x^-2y4)^-2;
11) 13m^-10/12n^-8 * 27n/26m2;
12) 18p^-6k2/7 : 15k^-2/p6.
Похожие решебники
Популярные решебники 8 класс Все решебники
*К сожалению, временные проблемы с публикацией комментариев с мобильных устройств.