Упр.286 ГДЗ Мерзляк Полонский 8 класс (Алгебра)
Решение #1 (Учебник 2025)
Решение #2 (Учебник 2025)
Решение #3 (Учебник 2019)
Решение #4 (Учебник 2019)

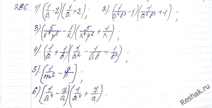
Рассмотрим вариант решения задания из учебника Мерзляк, Полонская, Якир 8 класс, Просвещение:
Вынесите за скобки степень с основанием b и наименьшим из данных показателей:
1) b3 + 3b2;
2) b^-8 + 3b^-2;
3) b^-3 + 3b2.
Представьте в виде произведения выражение:
1) a^-2 - 4;
2) a^-4 b^-6 - 1;
3) 25x^-8 y^-12 - z^-2;
4) a^-3 + b^-3;
5) m^-4 - 6m^-2 p^-1 + 9p^-2;
6) a^-3 - 49a^-2.
Похожие решебники
Популярные решебники 8 класс Все решебники
*К сожалению, временные проблемы с публикацией комментариев с мобильных устройств.