Упр.275 ГДЗ Мерзляк 8 класс (Алгебра)
Решение #1
Решение #2
Решение #3

Рассмотрим вариант решения задания из учебника Мерзляк, Полонская, Якир 8 класс, Вентана-Граф:
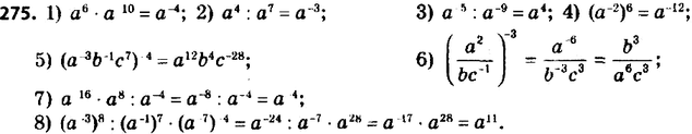
275. Представьте выражение в виде степепи с основанием а или произведения степеней с разными основаниями:
1) a6 : a^10;
2) a4 : a7;
3) a^-5 : a^-9;
4) (a^-2)6;
5) (a^-3 b^-1 c7)^-4;
6) (a2/bc^-1)^-3;
7) a^-16 * a8 : a^-4;
8) (a^-3)8 : (a^-1)7 * (a^-7)^-4.
Похожие решебники
Популярные решебники 8 класс Все решебники
*размещая тексты в комментариях ниже, вы автоматически соглашаетесь с пользовательским соглашением