Упр.276 ГДЗ Мерзляк 8 класс (Алгебра)
Решение #1
Решение #2
Решение #3

Рассмотрим вариант решения задания из учебника Мерзляк, Полонская, Якир 8 класс, Вентана-Граф:
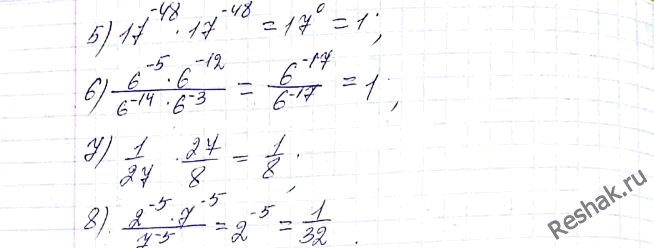
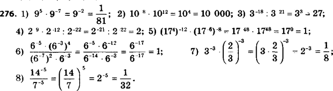
276. Найдите значение выражения:
1) 9^5 * 9^-7;
2) 10^-8 * 10^12;
3) 3^-18 : 3^-21;
4) 2^-9 * 2^-12 : 2^-22;
5) (17^4)^-12 * (17^-6)^-8;
6) (6^-5 (6^-3)4)/((6^-7)2 * 6^-3);
7) 3^-3 * (2/3)^-3;
8) 14^-5/7^-5.
Похожие решебники
Популярные решебники 8 класс Все решебники
*К сожалению, временные проблемы с публикацией комментариев с мобильных устройств.